D-二聚体的 15 种临床意义最新解读!这篇总结全了


血液中的 D-二聚体水平反应了纤维蛋白的降解水平,并与凝血、纤溶、炎症存在密切的关联,其水平升高预示着血液处于高凝状态。D-二聚体可用于多种疾病的早期评估,特别是应用于肺栓塞的阴性预测。
关于 #D-二聚体# 此前我们总结过很多相关内容,点击下方标题可查看原文:
◆D-二聚体的 12 种临床意义解读!
◆患者同时去 3 家医院测 D-二聚体结果相差近 10 倍,让我们给个说法?!
◆临床问:为什么查 D-二聚体急诊比平时查的更准一些呢?
近两年,D-二聚体在新冠病毒感染患者的诊疗过程中尤为重要。据研究,近 20% 的新冠感染患者可出现严重凝血功能异常,几乎所有重型和危重型患者都可能出现严重凝血功能异常。此外,新冠重症患者合并静脉血栓栓塞症(VTE)的病例报道屡见不鲜,尤其是合并肺栓塞(PE)。
1 月 7 日,国家卫健委印发的《新型冠状病毒感染防控方案(第十版)》中同样提到:重型、危重型患者炎症与细胞因子的大量分泌加速了高凝状态,可出现 D-dimer 急剧升高。可见,D-dimer 在新冠病毒感染患者的诊疗和疾病转归过程中尤为重要。
新冠患者出现凝血功能障碍的机制
  
新冠病毒感染后,机体内严重感染或脓毒症引起的急性炎症可通过多种方式影响自身凝血和纤溶,包括循环蛋白 C 和抗凝血酶降低,纤溶酶原激活物抑制物-1 (PAI-1) 水平升高,最终激活凝血级联反应,抑制纤溶反应,从而促进血栓形成。
部分伴随凝血功能障碍的患者在病情发展过程中,病情可能突然恶化,D-dimer 水平显著升高,甚至猝死。住院患者和危重患者中 VTE 的患病率很高,包括深静脉血栓形成 (DVT)、肺栓塞 (PE) 和肺动脉血栓形成 (PA)。因此,在预防、控制和治疗新冠病毒感染期间,预防各种因凝血功能紊乱引发的并发症可显著改善预后,降低死亡率。
01
D-dimer 对新冠病毒感染患者 VTE 的风险评估
  
脱水是众所周知的静脉血栓栓塞危险因素。大多数新冠病毒感染患者会有发热和脱水症状,后期可能出现腹泻或厌食等胃肠道并发症,这很可能导致机体严重脱水,液体容量不足,血液粘度增加。
重型患者可能合并细菌或真菌感染,低血压、休克和昏迷的发生率增加,导致肢体静脉血流减慢和静脉瘀血。此外,重型或危重型患者大量释放炎症介质,以及临床上激素和免疫球蛋白的应用也可导致血液高凝。
综上,可能导致 DVT 的发生,甚至血栓迁移导致致死性 PE。
VTE 风险评估工具包括 Caprini 评分、Padua 评分和 IMPROVE VTE 评分。Caprini 评分是最有效的 VTE 风险评估工具。
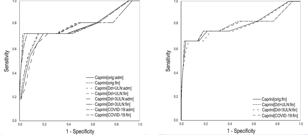
有研究将 168 名新冠病毒感染患者纳入实验,对比原始 Caprini 评分与(加入 D-dimer 升高、新冠感染住院因素)修订版本的 Caprini 评分评估新冠感染患者发生 VTE 风险的能力,验证发现修订后的 Caprini 评分版本能更好的评估新冠感染患者发生 VTE 风险。
研究将无症状的新冠感染患者增加 2 分,有症状的患者增加 3 分,有症状的 D-dimer 阳性患者增加 5 分,结果显示,尽管给予低分子肝素 (中等剂量) 进行抗凝治疗,入院时计算的原始评分 ≥ 7 和出院时计算的评分≥11 与住院患者 VTE 风险增加显著相关。当评分 ≥ 7 时,预测在 6 个月内有症状性静脉血栓栓塞的敏感性为 75%,特异性为 78%,这类患者是高危人群,需要特别关注,在医院需加强药物预防,并在出院后延长药物预防。



 图 1 根据 Caprini 评分,VTE 的个体危险因素分布

图 2 通过受试者工作特征 (ROC) 曲线分析不同版本 Caprini 评分对 COVID-19 患者症状性 VTE 的可预测性
02
D-dimer 升高与新冠患者死亡率和疾病进展密切相关
  
由中欧专家撰写的《新冠肺炎并发 VTE 的预防与治疗专家共识》提示应监测住院新冠感染患者 D-dimer 或其他凝血指标的动态变化,该共识表明:
❶ D-dimer 在肺炎早期升高与炎症反应相符,但 D-dimer 突然发生快速升高并伴有呼吸衰竭表现,往往表明炎症反应急性加重,病情进展恶化。
❷ 当病情得到控制时,D-dimer 水平可能逐渐下降并恢复到低于正常水平。
❸ 血浆中 D-dimer 水平在急性血栓形成的情况下也可升高,同时激活凝血和纤溶。
在新冠患者中,凝血功能障碍既与病情加重有关,也与临床预后不良有关。因此,监测 D-dimer、纤维蛋白原和 FDP 值有助于早期识别血栓性并发症或伴有明显 DIC 的疾病恶化进展,重新评估治疗策略。
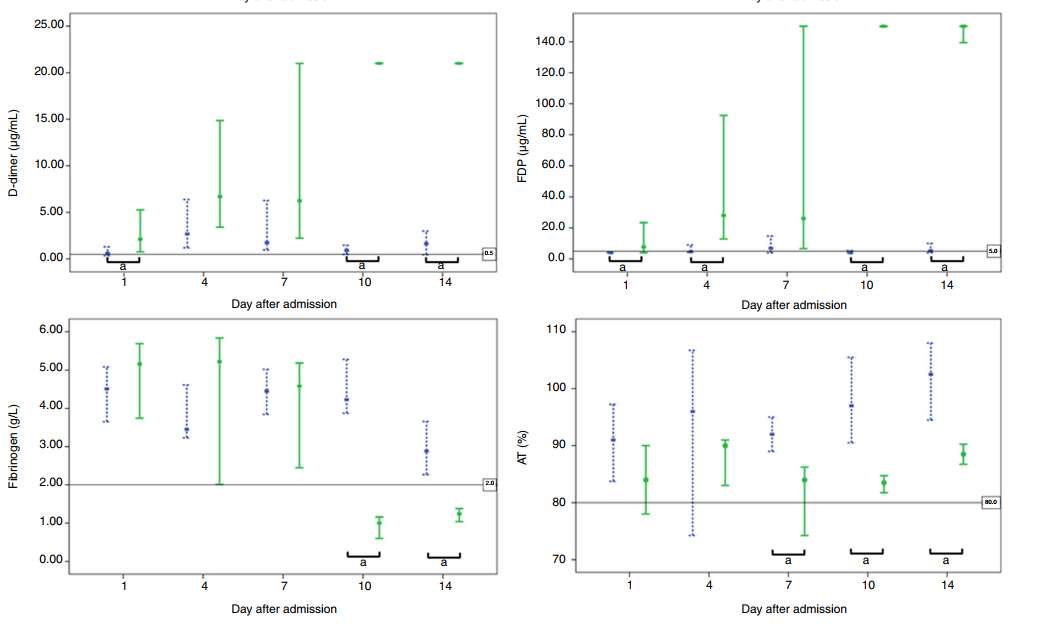
另有研究表明,D-dimer 和纤维蛋白原降解产物 (FDP) 显著升高在新冠病毒感染相关死亡中非常常见。该研究收集 183 例入院新冠病毒感染患者住院期间凝血检测的样本,比较存活患者和死亡患者入院时的凝血参数(表 1),并且从入院后第 1 天到第 14 天,每隔 3 天跟踪凝血参数的动态变化(图 3)。
表 1 新型冠状病毒感染患者入院时凝血参数分析

纳入研究的总死亡率为 11.5%。其中 71.4% 的死亡患者和 0.6% 的存活患者在住院期间均出现 DIC。脓毒症是 DIC 最常见的原因之一,机体受到损伤后单核细胞和内皮细胞被激活到细胞因子释放点,加上组织因子表达和血管性血友病因子分泌,最终发展为 DIC。
与存活患者相比,死亡患者的入院时 D-dimer 和 FDP 水平均中度或显著升高,并且 PT 和 APTT 均延长更为明显。死亡患者在住院晚期纤维蛋白原和抗凝血酶水平也显著降低,表明这些患者存在凝血激活和继发性高纤溶状态,也就是说在新冠病程中常规凝血参数与预后显著相关。

图 3 新冠病毒感染患者入院后凝血参数动态分析时间轴
03
D-dimer 对新冠患者生存率与死亡风险的预测价值
  
有研究对老年新冠病毒感染患者死亡影响因素多因素 Logistic 回归分析,结果显示血 D-dimer ≥ 0.55 mg/L 和 CRP ≥ 4 mg/L 是导致老年新冠患者死亡的独立危险因素,且均与老年新冠患者死亡风险呈正相关,血 D-dimer 和 CRP 越高,老年新冠患者死亡风险越高。
ROC 曲线分析结果显示,与 CRP 相比,血 D-dimer 预测老年新冠患者死亡风险更灵敏,当最佳截断值为 2.36 mg /L 时,敏感度为 77.3%,特异度为 85.9%。
表 2 老年新冠病毒感染患者死亡影响因素多因素 Logistic 回归分析


图 4 血 D-二聚体和 C 反应蛋白对老年新冠病毒患者死亡风险预测价值受试者工作特征曲线
有研究对出现症状时、第 1 天和第 3 天 D-dimer 血液水平进行检测,以预测新冠患者的 28 天生存率,在纳入的 761 例入院患者中,749 例在第 1 天出现 D-dimer 水平升高,28 天死亡率为 10.4%。第 1 天 D-dimer 正常的生存几率为 5.9%,第 3 天正常的 D-dimer 水平患者,生存几率为 15.6 %。第 1 天及第 3 天的 D-dimer 水平正常对患者生存率有很高的预测价值(阳性预测值分别为 93% 和 98%)。

图 5 D-二聚体水平正常及升高患者的 28 天生存曲线
D-dimer 作为体内血栓形成的重要血液标志物,可用于深静脉血栓形成、DIC 和肺栓塞等疾病的诊断和治疗监测。在新冠病情进展过程中监测 D-dimer 能一定程度上预测患者的死亡风险。总之,利用好 D-dimer 水平,可及时对新冠患者进行病情分级与评估、预防凝血障碍可能引发的并发症,并改善患者预后。
关于D-二聚体,你还想了解哪些?留言区见~
投稿邮箱:huanghaihua@dxy.cn
题图来源:图虫创意
参考文献:
[1]Gungor B, Atici A, Baycan OF, Alici G, Ozturk F, Tugrul S, Asoglu R, Cevik E, Sahin I, Barman HA. Elevated D-dimer levels on admission are associated with severity and increased risk of mortality in COVID-19: A systematic review and meta-analysis. Am J Emerg Med. 2021 Jan;39:173-179.
[2]Tang N, Li D, Wang X, Sun Z. Abnormal coagulation parameters are associated with poor prognosis in patients with novel coronavirus pneumonia. J Thromb Haemost. 2020 Apr;18(4):844-847.
[3]Tsaplin S, Schastlivtsev I, Zhuravlev S, Barinov V, Lobastov K, Caprini JA. The original and modified Caprini score equally predicts venous thromboembolism in COVID-19 patients. J Vasc Surg Venous Lymphat Disord. 2021 Nov;9(6):1371-1381.e4.
[4]Zhai Z, Li C, Chen Y, Gerotziafas G, Zhang Z, Wan J, Liu P, Elalamy I, Wang C; Prevention Treatment of VTE Associated with COVID-19 Infection Consensus Statement Group. Prevention and Treatment of Venous Thromboembolism Associated with Coronavirus Disease 2019 Infection: A Consensus Statement before Guidelines. Thromb Haemost. 2020 Jun;120(6):937-948.
[5]Li C, Hu B, Zhang Z, Qin W, Zhu Z, Zhai Z, Davidson BL, Wang C. D-dimer Triage for COVID-19. Acad Emerg Med. 2020 Jul;27(7):612-613. doi: 10.1111/acem.14037. Epub 2020 Jun 24. PMID: 32506683; PMCID: PMC7301005.
[6] 潘云虎,陈光,王智华,夏国际,林茂增,文吉秋,洪原城.D - 二聚体和 C 反应蛋白评估新型冠状病毒肺炎预后的临床应用价值 [J]. 医学研究生学报,2020,33 (07):748-751.
[7] 谢晓燕、姚茹、赵晓宇、李双双、雷燕、王娟、郭玮、郭永博、张兵华。血 D - 二聚体对老年新型冠状病毒肺炎患者死亡风险预测价值 [J]. 临床误诊误治,2020, 33 (8):5.
到顶部