近代日俄四次密约的内容是什么?私自瓜分“满蒙”,从敌国、同盟再到主要假想敌


在近代,日俄两国成为争夺远东霸权的主要列强。日俄战争后,出于瓜分“满蒙”、避免两败俱伤以及排除其他列强的共同需要,日俄相互接近并先后签订了四次密约。俄国十月革命后,沙俄与其他国家签订的大批秘密条约公诸于世,日俄密约也被曝光。日俄四次密约的背景是什么?其内容和结局如何?

(日俄《朴次茅斯和约》签订现场)
01/
日俄调整远东战略,从激烈争夺到协商瓜分
19世纪末20世纪初,日俄围绕远东霸权和中国东北权益的争夺日趋激烈。
1904年2月8日,日本海军不宣而战突袭沙俄驻中国旅顺口舰队,日俄战争爆发。经过惨烈的陆海攻防战,俄国在1905年5月27—28日的对马海战中惨败,加上国内革命爆发,其败局已定。而日本也已耗尽了国力,处于无兵力可增援、无军费可追加的窘境。

(日俄战争示意图)
此时,争夺远东利益的列强力学关系进入了新一轮调整期。英美两国为了将俄国从中国驱逐出去,在财政和外交上支持日本。1905年7月,访问日本的美国陆军部部长塔夫脱与日本首相桂太郎签订了《塔夫脱—桂太郎备忘录》,美国承认日本对朝鲜的统治,日本则承认美国对菲律宾的统治。同年8月,日本与英国签订第二次《日英同盟条约》。在这些变化下,俄国在与日本的远东争夺中处于十分不利的地位。
在上述背景下,美国总统西奥多·罗斯福出面斡旋,日俄双方于1905年9月5日签订了《朴茨茅斯和约》。

(在朴次茅斯和会上,罗斯福总统将谢尔盖·维特介绍给小村寿太郎)
通过签订和约,日本夺取了此前俄国在中国东北攫取的权益。和约规定:俄国将从中国攫取的旅大租借地及其附属的一切权益、公产均转让给日本;俄国将从长春至旅顺段的中东铁路支线及其所属的一切权利、财产,包括煤矿,均转让给日本。
通过打赢日俄战争,日本正式确立了远东霸主和世界列强一员的地位。与此同时,随着沙俄势力的退缩,日本成为危及美国在中国东北权益的主要威胁。
《朴次茅斯和约》签订后,日俄两国捐弃前嫌,相互接近。这与列强力学关系的新变化密切相关。
日俄战争之前,已存在日英、俄法两个同盟。日俄战争爆发后,英法两国都担心自己被卷入其中,于是在1904年4月8日缔结《英法协约》,以图共同对抗德国。法国认为,为了对抗德国,不仅要改善法英关系,而且有必要促使日俄友好。因此,法国于1907年6月10日同日本签订《法日协约》,同时帮助俄日建立良好关系。同年8月31日,英俄缔结《和平协约》。至此,以对抗德国为目的的英法俄协约国集团宣告成立。

(两大军事集团的形成:英法俄协约国与德奥意同盟国)
此后,俄国的外交重点开始从远东转移到欧洲和巴尔干半岛,但又担心受到日本的背后攻击。为了消除后顾之忧,俄国决定与日本建立友好关系。
日俄相互接近的又一重要原因,就在于“联手制美”的需要。
当时,美国正向中国东北大力渗透,为此展开了积极的“金元外交”。面对美国这个新兴列强,日俄双方都想保住自己在中国东北的既得利益,不愿让美国再来插上一脚,因此决定通过加强合作来阻止美国向中国东北的渗透。
1906年秋,俄国外交大臣亚历山大·伊兹沃尔斯基(Алексáндр Петрóвич
Извóльский,1856—1919)频频向日本传递和解信号。10月,他访问巴黎对法国外长毕逊表示:俄国对日本“不持报复之念”,而最关注于维护全面和平。1907年1月,伊兹沃尔斯基又通过俄国驻日公使通报日本外相林董:俄国政府限期撤退在“满洲”的军队,一心一意希望和平,对“满洲”不存在任何秘密策划,愿意加强同日本的关系。

(亚历山大·伊兹沃尔斯基)
在此背景下,日俄两国从1907年起进行谈判,先后签订了4次密约。
02/
第一次密约:日俄密谋协商瓜分中国东北、朝鲜和外蒙古
1907年2月20日,俄国外长伊兹沃尔斯基向日本驻俄公使本野一郎(1862—1918)提交了一份条约草案。此后5个月期间,日俄双方围绕如何瓜分中国东北、外蒙古和朝鲜展开了长达5个月的协商。
1907年7月30日,本野一郎和伊兹沃尔斯基在圣彼得堡签订了第一次《日俄协约》。它包括公开的“日俄协约”两条、“秘密协约”四条以及附加条款。
公开的“日俄协定”重申两国遵守既往的各项条约,承认清帝国的独立和领土完整及各国在华工商业机会均等原则。

(本野一郎)
在“秘密协约”中,日俄擅自把中国东北划分为南满洲和北满洲;南满归日本,北满归俄国;同时,日本承认俄国对外蒙古的特殊利益,俄国承认日本对朝鲜的特权。
密约第一条规定,日本不在“本协约附加条款所定分界线以北的满洲地区占有铁路、电信等权利,俄国不在该分界线以南地区占有铁路和电信等权利。
在密约第二条中,俄国承认日本与朝鲜的诸条约,其言外之意是不干涉日本吞并朝鲜。
密约第三条规定,“日本帝国政府承认俄国在外蒙古享有特殊利益,并对此种利益不加任何损害或干涉”。
密约第四条规定,“两缔约国对本约严守秘密”。
“附加条款”对“南北满洲”的界限做了明确规定:“本协约第一条所提北满洲和南满洲之分界线如下:从俄韩边界西北端划一直线,经珲春、必尔滕湖(即镜泊湖)极北端,至秀水甸子,然后沿松花江至嫩江口,再溯嫩江至嫩江与洮儿河交汇点,再由此点沿洮儿河至此河与东经122°线交汇处止。”

(日俄瓜分中国东北)
第一次《日俄协约》,标志着日俄关系由冲突转向合作,由争夺在华权益转向瓜分在华权益。
03/
第二次密约:排除其他列强,日俄合作向军事同盟升级
日俄接近引起了其他列强的警惕,尤其是美国感到自己在中国东北被日俄排除在外。
对于中国东北地区,美国标榜“门户开放”政策,不愿看到日俄垄断和瓜分“满洲”。美国铁路大王哈里曼(Edward Henry Harriman,1848—1909)估计到南满铁路将转让给日本。他企图将这条铁路纳人其环球铁路网计划,便于1905年年9月向日本元老、大臣们提议,由日本提供物资、美国提供资金共同经营南满铁路。日本对美国势力的渗透感到不安,从而进一步加快了侵吞中国东北的步伐。

(美国铁路大王哈里曼)
1908年9月25日,日本外相小村寿太郎向内阁会议提出《对外政策方针》和《关于满洲对清诸问题解决方针》,主张日本应将对外政策的重点放在解决“满洲”问题上。他指出:“帝国不能轻易放弃眼下在满洲拥有之地位,要求永久地保持下去”。
小村提议,为了确立日本在南满的“优势地位”,应迅速解决“满洲六案”,即间岛问题、新民屯——法库门铁路、拆除大石桥一营口铁路、延长新奉铁路、将抚顺及烟台煤矿让给日本以及解决安奉线改造问题。1908年12月28日,中日开始在谈判桌上围绕“满洲六案”开始展开激烈的交锋。
1909年4月29日,元老山县有朋提出了《第二对清政策》意见书,指出:“满洲经营”中的优先事项是改建安奉铁路,它是朝鲜釜山与“满洲”奉天的联络线,他日在大陆用兵之际亦为必用之输送线;当外交手段不能达到目的时,“宜使用最后之手段,使北京政府听命于我而别无他途”。

(山县有朋)
6月22日,日本内阁会议决定日本单方面强行改建安奉铁路。8月6日,日本政府训令驻华公使伊集院彦吉向清政府外务部发出最后通牒,称:“兹已决定不待贵国之合作,自行实施安奉铁路之改建。”8月7日,日本单方面开始了改建工程。在日本的胁迫下,8月19日,清政府与日本签署了《安奉铁路节略》。9月4日,中日双方又签订《东三省交涉五案条款》和《图们江中韩界务条款》。通过上述各约,日本进一步加强了其在中国东北地区南部即“南满”的“优越地位”。与此同时,日本与各列强尤其是美国的利益冲突日趋尖锐化。
美国政府继续推进了“金元外交”。1909年6月,摩根、花旗等美国银行组成银行团,任命前驻奉天总领事司戴德(Willard Dickerman Straight)为银行团团长,前往中国寻求投资机会。新任东三省总督锡良拟修筑一条自葫芦岛经锦州、冰南、齐齐哈尔到瑷珲的“锦瑷铁路”。10月2日,司戴德与英国保龄公司就《锦瑷铁路借款草合同》达成谅解,决定锦瑷铁路由美国银行团投资、英国保龄公司承建。

(司戴德[右二])
11月6日,美国国务卿诺克斯(Philander
Chase Knox,1853—1921)提出了《满洲铁路中立化法案》(“诺克斯计划”)。内容包括:1、列强共同提供资金,由中国赎回东北境内所有铁路;2、由资金提供国共同经营管理各铁路;3、如上述方案不能实现,则以英美为核心,邀请有关国家共同投资修筑锦瑷铁路及其他铁路,以此作为东北铁路“中立化”的第一步骤。“诺克斯计划”的实质是,要在“国际共管”的招牌下,打破日俄两国对东三省铁路的垄断。
美国向英国提出了“诺克斯计划”。11月25日,英国的答复是,此案宜暂缓提出,而且有必要让日本也参加锦瑷铁路的修筑。12月,诺克斯又向日、俄、中、德、法五国外交代表提出《满洲铁路中立化方案》。中德两国表示赞同,法国持消极态度,日俄两国则坚决反对。“诺克斯计划”刺激了日俄两国,使其加快了相互合作、共同瓜分远东权益的步伐。

(菲兰德·蔡斯·诺克斯)
日俄经过协商,于1910年1月21日分别拒绝了“诺克斯计划”。
日本的既定方针是,永久维持“满洲”现状,以此地作为推进“大陆政策”的基础。为此,日本决定首先与俄国完成协商,并由两国共同决定“满洲”事务。
经过约半年的协商,1910年7月4日,日俄两国在圣彼得堡签订第二次《日俄协约》。此次协定同样包括公开、秘密两部分。
“公开协约”称:“两缔约国相约维持尊重迄今日本国和俄国及两国与清国所订一切条约或其他协定所发生之满洲现状。”
“秘密协约”共六条。其第一条规定:“日本国和俄罗斯国承认1907年秘密协约附属条款所定分界线划定两国在满洲之特殊利益范围”。

(日俄战争后的沈阳,日军强制中国百姓挂起日本国旗)
第四条规定:“(日俄)相互间不得寻求带有损害对方特殊利益性质的任何特权和让与。”
新约增加了两国“互相协商”(第五条)条款,同时取消了第一次密约中关于“使用和平方法”的限制。这意味着日俄合作关系已升级为军事同盟,其矛头既指向中国,也指向美国。其第五条规定:“上述特殊利益如遭受侵害时,为维护、保卫该利益,两缔约国要采取共同行动或协商采取措施,以达相互援助之目的。”
第二次日俄密约给日本维护在“满洲”和朝鲜的既得利益、特别是吞并朝鲜提供了可靠保障。8月22日,日本逼迫大韩帝国在《日韩合并条约》上签字盖章。至此,日本完全吞并了朝鲜。
04/
第三次密约:扩大瓜分中国东北西部,首次瓜分中国内蒙
1911年10月10日,中国爆发了辛亥革命,清朝的封建统治崩溃。对于武昌起义,日本各界的反映不一。有人担心中国的共和革命会动摇日本的天皇制。但日本军部却把辛亥革命视为其扩大在华权益、攫取土地的天佑良机。一时间,日本陆军高层出现了各种出兵中国的建议和方案。

(武昌起义中的革命军[左臂缠着白布条])
清帝退位后,日本军部、财阀和内阁认为,这是“最有利于我、且最有把握之时机”,图谋采取行动将“满蒙”攫为己有。时任外相内田康哉综合各方意见,制定了《关于对清政策》,其第一条就是“关于满洲的方针”。其中建议,“延长满洲租借地年限,要寻找最有利、最有把握的时机,以解决帝国在满洲的根本解决”。
以参谋次长福岛安正和朝鲜总督寺内正毅为代表的日本陆军主张采取激进的对满政策。福岛安正指挥在华浪人川岛浪速发动了第一次“满蒙独立运动”,试图将东三省、内蒙古从中国分割出去,炮制一个由日本控制的“满蒙王国”。这场叛乱运动终以失败告终。
在策动“满蒙独立”的同时,日本又主动向俄国接近,图谋通过与俄国的协商与提携,从根本上解决“满蒙问题”。
辛亥革命后,俄国利用中国革命的混沌局势,积极策动外蒙封建王公叛乱。1911年12月,沙皇政府怂恿喀尔喀王公、喇嘛发动叛乱。日本政府断定,俄国下一步将把手伸向内蒙古,因此急不可待地要求划定两国在内蒙的势力范围。

(列强瓜分中国漫画)
10月23日,即武昌起义发生两周后,俄国总理大臣科科弗采夫(Vladimir Nicolaevich Kokovtsov)召见日本驻俄公使本野一郎,探问革命时期如何保全日俄两国在满蒙的利益。
俄总理在谈话中称,日本可以“随时派出大军到清国去占领本国所需要的地方”,但“俄国与清国的国境线非常之长,俄国若想占领北满洲和对俄国来说更为重要的蒙古,则需付出异常巨大的努力。日本在远东没有任何后顾之优,俄国则必须经常顾虑来自西方的德国干涉。”
对此,本野一郎提出,如果英法俄三国紧密团结,日俄出兵中国,德国想来不至于在近东给俄国制造麻烦。
1912年1月10日,日本外相内田康哉(1865—1936)致电驻俄公使本野一郎商议与俄缔结新约事宜。内田认为,第一次《日俄密约》附加条款规定的南北满洲分界线,仅止于洮儿河与东经122°交汇点处,该点以西地区分界线尚未议定;根据第二次《日俄密约》,日本政府虽已承认俄国在外蒙古享有特殊利益,然而关于日俄两国在内蒙古之利害关系则未做任何规定,日俄两国政府应在适当时机,就东经122°以西地区之分界线问题缔结协约,并在内蒙古划定两国势力范围;关于两国在内蒙古的势力范围问题,以张家口至库伦间大道为界将内蒙古纵分为东、西两半部,其东部划为日本势力范围,西部归人俄国势力范围。

(内田康哉)
经过日俄双方的多轮讨价还价,1912年7日8日,日本驻俄公使本野一郎与俄国外交大臣沙查诺夫在圣彼得堡签订了第三次日俄密约。
第三次密约的内容有两点:一是划定两国在东三省西部的势力范围,将南满和北满的分界线进一步向西延伸,再次扩大了双方在东北亚的势力范围;二是以北京经度为界划定两国在内蒙古的势力范围。
密约的前言指出,本次订约的目的是“消除双方在满洲及蒙古特殊利益方面可能发生误解之一切原因,遂决定延长上述1907年7月30日协约补充条款所定分界线。”
其第一条规定:“上述分界线,从洮儿河与东经122°线之交汇处起,交流河及归流河行至归流河与哈尔达苏台河之分水岭,从此沿黑龙江省与内蒙古之分界线行至内、外蒙古之境界线终端止。”
其第三条规定:“内蒙古分为两部分:北京经线 (东经116°27')以东之部及以西之部。俄罗斯帝国政府承诺承认并尊重日本在内蒙古上述经线以东之部所享特殊利益;而日本帝国政府承诺承认并尊重俄国在内蒙古上述经线以西之部所享特殊利益。

(内蒙古地图)
其第三条规定:“两缔约国对本约须严守秘密。”
通过此次密约,日俄两国把内蒙古私自划分为东、西两部分,内蒙东部归日本,内蒙西部归俄国。日俄不仅扩大了瓜分中国东北的西部范围,而且首次瓜分了中国内蒙。
05/
第四次密约:日俄进一步巩固了军事同盟
1914年8月,第一次世界大战爆发。西方列强争霸欧洲,无暇东顾,给了日本进一步侵占东亚大陆的机会。沙俄在对德作战中节节失利,其在中国东北及远东地区的军队大举西调,而且其军队武器装备严重短缺,也需要日本的援助。加上俄国担心日本趁机填补真空,为了稳住日本,因此再次与日本签订了新约。
日本趁机表示,俄国在远东的兵力尽可调赴欧洲作战,日本愿对俄国的远东利益提供保护,并竭力接济俄国武器装备。俄皇尼古拉二世表示感谢,日本抓住机会提议两国结盟。
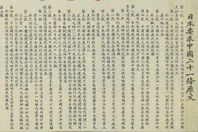
1915年1月,日本对中国提出“二十一条”,沙俄政府采取默契配合的态度,企图在日本取得特权后,援例坐享其成。

(日本向中国提出的二十一条)
1916年1月,日本大正天皇登基。尼古拉二世派特使赴东京祝贺,受到日本朝野的热烈欢迎。日本报刊刮起了“日俄结盟热”。
7月3日,日俄双方在圣彼得堡缔结了第四次密约。这次密约把日俄的军事同盟从东三省、内外蒙扩大到了全中国范围。
第四次密约也分为“公开协约”和“秘密协约”两部分。
“公开协约”规定,日俄双方都不得与别国缔结对抗双方的政治协定或联盟,当日俄某一方在远东之领土权利或特殊利益受到侵害时,双方将“协商应采取之措施,相互支持或协助,以维护、保卫此等权利和利益。”这一条对日俄军事同盟的性质、目的和手段做了明确规定。
“秘密协约”为六条。其第一约规定:“两缔约国承认,双方重要利益需要中国不落在有敌视俄国或日本之可能之任何第三国政治势力之下,将来遇有必要时,须开诚交换意见,并协定办法,以阻止此种形势之发生”。

(尼古拉二世)
第二条规定:“根据上条所举之协定办法,缔约国之一须与上条所指第三国宣战时,则另一缔约国,一经请求,即需援助,且两缔约国,在未得彼此同意之先,不得单独媾和”。
通过签订第四次密约,日俄两国进一步巩固了军事同盟,其意在于共同抵制美国和德国控制中国,保证两国在“满蒙”地区的势力范围,而且进一步在全中国确立优势地位。
06/
结局:日俄从同盟走向对立和对抗
1917年,俄国爆发了二月革命。3月15日,沙皇尼古拉二世下诏辞去帝位,让位给皇弟米哈伊洛维奇大公。该大公则宣告,自己在由普选产生的议会颁布新宪法之前,拒绝继承帝位,服从临时政府的领导。

(俄国二月革命)
3月18日,俄临时政府外务大臣米留可夫亲自访问日本驻俄使馆,将俄国政体变更的文件送交日本大使内田康哉。3月20日,俄国驻日大使拜访日本外相本野一郎,将俄国政府的一份电文递交给本野。其中称,临时政府“在外交方面,尊重旧政府缔结的条约,严守这些条约。努力增进与友邦及盟国之间的友好关系。”同日,内田大使打电话给俄国外交部,通报了日本承认俄临时政府的决定。
1917年11月7日(俄历),俄国十月革命爆发,苏维埃政府宣布废除秘密条约等七项政策,并公布了日俄密约。密约曝光引起了日美、日英间的尖锐矛盾。
俄国十月革命使日本失去了日俄同盟,并得罪了英美,从而陷于外交孤立。日本统治层担心,苏俄新体制会对日本天皇制产生不利影响,从而在后来出兵西伯利亚,企图扼杀苏维埃政权。

(日本出兵西伯利亚)
从第一次密约到第四次密约,是日俄关系的十年“蜜月期”。苏俄取代沙俄后,则成为日本需要通过“北进”来进行武力征服的一大假想敌。
阅读后,请点击右下角的“在看”,谢谢!
到顶部