北大人民/阜外医院研究:二甲双胍可降低糖尿病发生风险!


▎药明康德内容团队编辑
血糖调节受损指糖耐量受损(IGT)或空腹血糖受损(IFG)或二者兼有,是糖尿病进展过程中的重要风险因素。一项中国流行病学调查结果显示,按WHO 1999标准,中国血糖调节受损的患病率为15.5%(约1.48亿人),其中IFG、IGT以及IFG+IGT患病率分别为3.2%、11.0%以及1.9%。
既往多项研究显示,生活方式干预可有效减缓血糖调节受损进展为糖尿病,但患者往往难以坚持,且即使患者可长久坚持,也仍然有部分患者最终会进展为糖尿病。因此,生活方式干预可能需要与药物干预相结合,使患者获得比单纯生活方式干预更持久的获益。临床试验结果显示,二甲双胍等药物干预可延缓血糖调节受损进展为糖尿病。尽管二甲双胍在糖耐量受损人群中的作用已经相对明确,但考虑到空腹血糖受损和糖耐量受损人群发病机制、胰岛素抵抗等存在的差异,仍需更多证据来佐证。
近日,The Lancet Diabetes & Endocrinology发表一项来自中国的研究,表明相比于仅生活方式干预,二甲双胍联合生活方式干预策略可进一步降低中国糖耐量受损人群进展为糖尿病的风险,且未增加新的安全方面问题。
文章通讯作者为北京大学人民医院孙宁玲教授、纪立农教授,中国医学科学院阜外医院李光伟教授。

图片来源:The Lancet Diabetes & Endocrinology
这是一项多中心、开放标签、随机对照试验,纳入中国11个省份43家医院的血糖调节受损成人患者,患者年龄18~70岁,体重指数(BMI)为21~32 kg/m2。其中糖耐量受损定义为:空腹血糖<7 mmol/L,餐后2小时血糖7.8~11.0 mmol/L;空腹血糖受损定义为空腹血糖6.1~7.0 mmol/L,餐后2小时血糖<7.8mmol/L。研究人员以1:1的比例随机将患者分配接受标准生活方式干预(后简称“生活组”)或标准生活方式干预+二甲双胍(后简称“二甲双胍组”)。生活方式干预包含:
1)每天至少锻炼30分钟,每周锻炼5天;
2)不饮用含糖饮料;
3)晚饭后不再进食;
4)若BMI≥25
kg/m2,则每餐碳水化合物的摄入量减少50 g;
5)每日蔬菜摄入量至少为500 g;
6)每周外出就餐不超过1次。
结果显示,中位随访2.03年期间,二甲双胍组和生活组糖尿病患病比例分别为29.8%(248/831)和36.2%(307/847),对应的发病率分别为17.27/100人-年(95%CI 15.19~19.56)、19.83/100人-年(95%CI 17.67~22.18)。
二甲双胍组糖尿病发病风险比生活组低17%(HR=0.83,95%CI 0.70~0.99,P=0.043)。亚组分析结果显示,糖耐量受损人群和空腹血糖受损人群的糖尿病风险降低整体趋势相似,但仅在糖耐量受损人群表现出显著下降趋势(HR=0.83,95%CI 0.69~0.99)。

▲两组累积糖尿病发病率(图片来源:参考文献[1])
(蓝色为生活组,红色为二甲双胍组)
文章表示,既往多项试验均验证了不同干预措施对糖耐量受损人群的作用,但对于空腹血糖受损人群的效果尚未得到证实。理论上,二甲双胍可抑制内源性葡萄糖生成,增加外周葡萄糖摄入,那么空腹血糖受损和糖耐量受损的人群均有望获益,但从亚组分析的结果来看,通过二甲双胍+生活干预的策略来降低糖尿病风险,仅在糖耐量受损患者中表现出差异,而空腹血糖受损患者并未显著获益,这可能与二者不同的发病机制,以及胰岛素抵抗部位存在差异有关。考虑到本次研究中空腹血糖受损和糖耐量受损患者占所有入组患者的比例分别为14%和25%,空腹血糖受损人群占比较低,因此,有必要进行额外的大规模、长期干预试验,专项招募空腹血糖受损人群以了解使用二甲双胍能否额外获益。
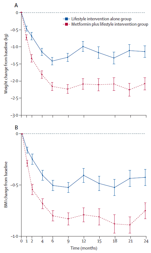
2年随访期内,二甲双胍组和生活组体重较基线平均分别下降2.11 kg和0.95
kg。两组体重在干预治疗第一个月后即开始下降,且整个试验期间体重下降幅度相对平稳。此外,二甲双胍组和生活组BMI较基线分别下降0.76 kg/m2和0.43 kg/m2,两组差异为0.33 kg/m2(95%CI=0.15~0.51)。

▲两组24个月治疗期间体重(图A)和BMI(图B)的平均变化情况(图片来源:参考文献[1])
(蓝色为生活组,红色为二甲双胍组)
二甲双胍组报告的不良反应事件患者比例高于生活组,主要为胃肠道反应,多可缓解,两组报告的严重不良事件患者比例相似。
总之,这项研究结果表明对于中国血糖调节受损人群,采用二甲双胍+生活方式干预的策略可以更大程度地降低糖尿病发病风险(降低17%),值得一提的是,从临床治疗角度来看,预防糖尿病的目标不仅仅是控制高血糖,还需要考虑到预防心血管疾病。为了验证联合干预对心血管结局的影响,还需在心血管高风险人群中设计针对二甲双胍的特定研究,研究团队正在讨论在本研究受试者中针对心血管高风险人群做更长期的随访。
点击文末“阅读原文/Read more”,即可访问The Lancet Diabetes & Endocrinology官网阅读完整论文。

相关阅读




欢迎投稿:学术成果、前沿进展、临床干货等主题均可,点此了解投稿详情。
参考资料
[1] Zhang L, Zhang Y, Shen S, et al. Safety and effectiveness of
metformin plus lifestyle intervention compared with lifestyle intervention
alone in preventing progression to diabetes in a Chinese population with impaired
glucose regulation: a multicentre, open-label, randomised controlled trial.
Lancet Diabetes Endocrinol. 2023 Jul 3:S2213-8587(23)00132-8. doi:
10.1016/S2213-8587(23)00132-8. Epub ahead of print. PMID: 37414069.
免责声明:药明康德内容团队专注介绍全球生物医药健康研究进展。本文仅作信息交流之目的,文中观点不代表药明康德立场,亦不代表药明康德支持或反对文中观点。本文也不是治疗方案推荐。如需获得治疗方案指导,请前往正规医院就诊。
版权说明:本文来自药明康德内容团队,欢迎个人转发至朋友圈,谢绝媒体或机构未经授权以任何形式转载至其他平台。转载授权请在「医学新视点」微信公众号留言联系。
如有其他合作需求,请联系wuxi_media@wuxiapptec.com

分享,点赞,在看,传递医学新知
到顶部