抗阻训练引起的全身肌肥大:分布与总量



阅读提示
最近重新阅读了很多关于力量训练的书籍,虽然有些书已经读过4~5遍了,回看却发现了之前完全无视的重要细节,比如,参考资料。这篇文章就是很早之前入手的《力量训练原理》中提到的参考资料,虽然发表至今已经有些年头,但仍然有一定参考价值,尤其是对于那些刚接触抗阻训练不久的人。
1
基本信息
准确测量人体骨骼肌质量和分布对于研究骨骼肌肥大对(大重量)抗阻训练的反应非常重要,目前,测量骨骼肌质量最准确的体内方法是多扫描磁共振成像和计算机断层扫描。
尽管其安全性,但大多数磁共振成像研究仅评估局部,例如手臂、躯干和腿部的骨骼肌质量。我们最近报道了使用连续切片(无切片间隙)方法评估总骨骼肌质量及其分布的全身磁共振成像,使用该方法可以研究抗阻训练诱导的全身骨骼肌肥大的分布。
迄今为止,大多数研究仅评估了肢体肌肥大,很少有报道抗阻训练引起的躯干区域肌肥大。更重要的是,尚未报道抗阻训练诱导的肌肥大相对增加的分布。因此,这项试点研究的目的是使用连续的全身磁共振成像扫描来检查在抗阻训练的响应下,骨骼肌大小的绝对和相对变化。
2
方法
3名健康的年轻男性(20~21岁)自愿参加了这项研究,他们都积极参加体育活动,但在计划开始前没有人参加过抗阻训练。在连续16周内,他们以每周3次的频率做抗阻训练,其中包括3个下半身动作(深蹲、腿伸膝和腿弯举)和2个上半身动作(卧推和坐姿下拉)。 
训练计划包括一个热身组,然后是每个动作做3组,每组在8~12次内做到力竭。为保证每组都重复这些次数,他们在训练中逐渐增加了重量。1RM是通过逐渐增加举起的重量直到受试者无法通过完整的运动举起重量来确定的,深蹲的力量是通过3RM测试的。

使用具有自旋回波序列的磁共振成像1.5-T扫描仪测量全身骨骼肌分布和质量。每个受试者获得从第一颈椎到踝关节的连续横切面图像,切片厚度为1.0cm。在每个切片中将横截面积数字化,并将横截面积(cm2)乘以切片厚度(cm)计算出每片肌肉组织体积(cm3)。 
通过将体积乘以假定的骨骼肌恒定密度(1.041 kg/l),将骨骼肌体积单位(升)转换为质量单位(kg)。通过静水压称重测量身体密度,同时通过氧气稀释测量残余肺容积。身体脂肪百分比是使用Brozek等人的方程从身体密度计算的,用身体质量减去脂肪质量去估计无脂肪质量。
3
结果与讨论
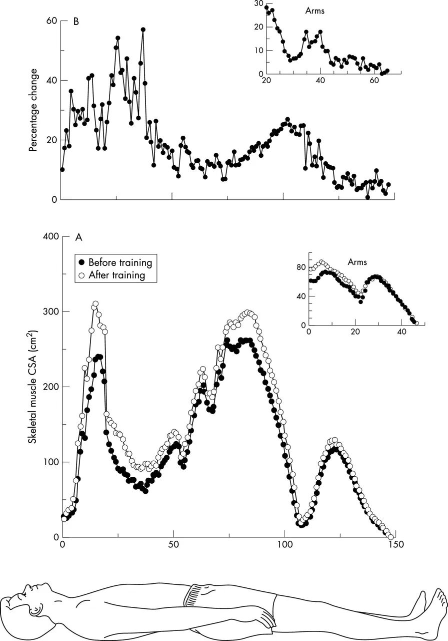
抗阻训练后上半身和下半身力量(1RM或3RM)的平均相对增加分别为30%和16%,抗阻训练后体脂平均下降0.6%,无脂肪质量增加2.6kg,抗阻训练后骨骼肌总质量平均增加4.2kg。
在肩部、胸部、大腿上部和上臂出现肌肉横截面积的最大绝对增加。与腰部、臀部、前臂、大腿和小腿(+10~20%)相比,肩部、胸部和上臂(+25~40%)肌肥大的相对变化更大。所有3名受试者的肌肉横截面积的相对增加在肩部(横截面积的峰值水平)为26%,在大腿中部和小腿分别为18%和9%。

据报道,在全身进行10~16周的抗阻训练后,无脂肪质量增加了约2.0kg。然而,关于抗阻训练后骨骼肌增加的程度知之甚少。本研究中骨骼肌的平均增加量为4.2公斤。Nelson及其同事报告说,经过52周的随机对照抗阻训练后,绝经后妇女的总骨骼肌增加了1.4公斤和1.6公斤。
尽管我们研究中的骨骼肌增益比其他报告高3倍,但四肢肌肉横截面积的相对增加与文献一致。另一方面,Nelson等人仅报告手臂和大腿肌肉横截面积增加了6~8%。我们的数据和其他报告之间抗阻训练诱导的骨骼肌增益的差异可能是由于训练计划的差异,例如频率。
这项研究的新发现是,通过磁共振成像测量的抗阻训练引起的总骨骼肌质量增加大于无脂肪质量的增加。另一项研究显示抗阻训练后非骨骼肌瘦组织减少,全身水分增加或减少。
在我们的研究中,训练后全身水分(生物电阻抗分析法)没有差异(训练前为63.6~69.3%,训练后为63.4~67.5%)。一种可能的解释是非骨骼肌瘦组织可能在抗阻训练后减少。显然,还需要做更多的工作来确定抗阻训练后是否有器官或非骨骼肌瘦组织的变化。
如果每块肌肉的肌肥大变化是恒定的,那么单个解剖横截面积将反映骨骼肌质量的变化。然而,数据表明,肌肥大并不是均匀地发生在身体的每一块肌肉或区域,例如躯干、手臂和腿部。因此,肌肥大和骨骼肌质量的分布对于评估全身抗阻训练的效果很重要,因为个体肌肉横截面积和骨骼肌质量的相对变化存在差异。
部分参考资料
1.Janssen I, Heymsfield SB, Wang Z, et al. Skeletal muscle mass and distribution in 468 men and women aged 18–88 yr. J Appl Physiol 2000;89:81–8.
2.Abe T, Kearns CF, Fukunaga T. Sex differences in magnetic resonance imaging measured whole body skeletal muscle mass and distribution in young Japanese adults. Br J Sports Med2003;37:436–40.
3.Cureton KJ, Collins MA, Hill DW, et al. Muscle hypertrophy in men and women. Med Sci Sports Exerc 1988;20:338–44.
4.Abe T, DeHoyos DV, Pollock ML, et al. Time course for strength and muscle thickness changes following upper and lower body resistance training in men and women. Eur J Appl Physiol 2000;81:174–80.
5.Danneels LA, Vanderstraeten GG, Cambier DC, et al. Effects of three different training modalities on the cross sectional area of the lumber multifidus muscle in patients with chronic low back pain. Br J Sports Med 2001;35:186–91.
6.Snyder WS, Cooke MJ, Manssett ES, et al.Report of the Task Group on Reference Man Oxford: Pergamon, 1975:112.
到顶部