[误删恢复]扑朔迷离的病毒起源,重症高死亡率和无症状感染传播,为疫情拐点到来增添了一丝疑云。




本文为2月23日发布文章,误删后重新恢复
梳理扑朔迷离的病毒起源和神秘的零号病人,大量的无症状传播者和超预期的潜伏期。聚集病例事件频发,全国疫情发展拐点尚未到来,全球大流行风险可能越来越大。
近期疫情动态
国内方面,截止至2月23日10点,全国31个省(自治区、直辖市)和新疆生产建设兵团报告新增确诊病例648例(累计76936例),新增死亡病例97例新增疑似病例882例。当日新增治愈出院病例2339例,现有疑似病例4148例。累计追踪到密切接触者628517人,尚在医学观察的密切接触者106089人。
港澳台方面,累计收到通报确诊病例105例:香港特别行政区69例(出院11例,死亡2例),澳门特别行政区10例(出院6例),台湾地区26例(出院2例,死亡1例)。
日本方面,日本新增26例,累计确诊病例至769例。据日本放送协会消息,日本新增26例新冠肺炎确诊病例,分别为:北海道9人,神奈川县4人,爱知县4人,千叶县3人,熊本县2人,东京都1人,和歌山县1人,石川县1人,枥木县1人。截至当地时间22日晚23点,日本累计确诊新冠肺炎病例达到769例。其中,“钻石公主”号邮轮上共确诊634例,在日本国内的日本人和中国游客等共121例,从武汉乘坐包机返回者14例。
美国方面,美国疾控中心CDC宣布,正在为新冠病毒变成全球大流行病做准备,全美商业、学校等可能需要被关闭。

在死亡100多名儿童后发现,本季度至少有2,600万美国人感染流感,25万人住院,1.4万人死于流感,而这1.4万死亡人数里,并非都患有流感,更可能是感染的新冠病毒。美国CDC称,“对于这些被判定为不属于流感的病毒,将逐步进行新冠病毒的检测”。换言之,因为流感症状和新型冠状病毒的某些症状相同,比如发烧、咳嗽、流鼻涕、气短,很多人被错误的区分为流感并没有救治,也没有进行社会预防...也就是说,CDC变相承认了新冠病毒在全美的传播,只是还需要监测数据来确认。
朔迷离的病毒发源地和零号病人
1月27日,《科学》(Science)杂志发表了一篇名为《武汉海鲜市场可能并非新型冠状病毒发源地(Wuhan seafood market may not be source of novel virus spreading globally)》的文章,文章中指出研究者在追踪的第一批41个确诊病例中,有13个病例和华南海鲜市场并没有接触史。同时,最早的病人是在去年12月1日患病的,这位病人也和华南海鲜市场没有关系,他和第二位病人也没有流行病学方面的联系。同时,研究者通过病毒演化,推测新型冠状病毒最早可能出现在去年的10月1日。这篇文章以《柳叶刀》41位首批病例的研究为切入点,提出了关于新型冠状病毒起源的其它说法。挑战了人们根深蒂固的基本认识--武汉华南海鲜市场是病毒发源地。
2月21日,武汉华南海鲜市场的新型冠状病毒起源于其它地方,这个结论最终有了基因序列的证据。
中国科学院西双版纳热带植物园联合华南农业大学和北京脑科中心的科研人员一起收集了全世界93个新型冠状病毒样本的基因组数据(截止2月12日)。研究发现收到的93个样本包含58种单倍型,可以归纳为五组(图1),包括3个古老超级传播者单倍型(H1,H3和H13)和2个新的超级传播者单倍型(H56和mv2),研究结论要点:
1.从单倍型看,现扩散的病例至少来自于3个途径;
2.华南海鲜市场的新型冠状病毒是从其他地方传入进来,在市场中发生快速传播蔓延到市场之外;
3.新型冠状病毒在2月12日之前发生过2次明显的种群扩张(分别是12月8日和1月6日)。暗示在12月初甚至11月下旬,就已经出现人际传播。
单倍型演化关系显示,单倍型H13和H38是比较“古老的”单倍型,通过一个中间载体(mv1,可能是一个祖先单倍型,可能是来自中间宿主或者“零号病人”)与蝙蝠冠状病毒RaTG13关联,并通过单倍型H3衍生出了单倍型H1。与华南海鲜市场有关联的患者样品单倍型都是H1及其衍生的单倍型H2,H8-H12(图1,A),而一份武汉样品单倍型H3与华南海鲜市场无关。加上病患发病时间记录和种群扩张时间推断,认为华南海鲜市场的新型冠状病毒是从其他地方传入进来,但华南市场是重要的爆发传播地。研究人员进一步确认我国其他9个省区和其他11个国家的感染病例基本都是从武汉直接或者间接输入而来。

图1. 新型冠状病毒58种单倍型的演化关系和地理分布格局(A,B),单倍型之间的可能演化关系(C),以及新型冠状病毒的可能传播和扩散路线(D)。A和B圆圈中的数据是样本数量。 

图2. 新型冠状病毒单倍型的样品采集时间情况。红色圈的样品是确认与华南海鲜市场有关;蓝色圈的样本确认与海鲜市场无关。 

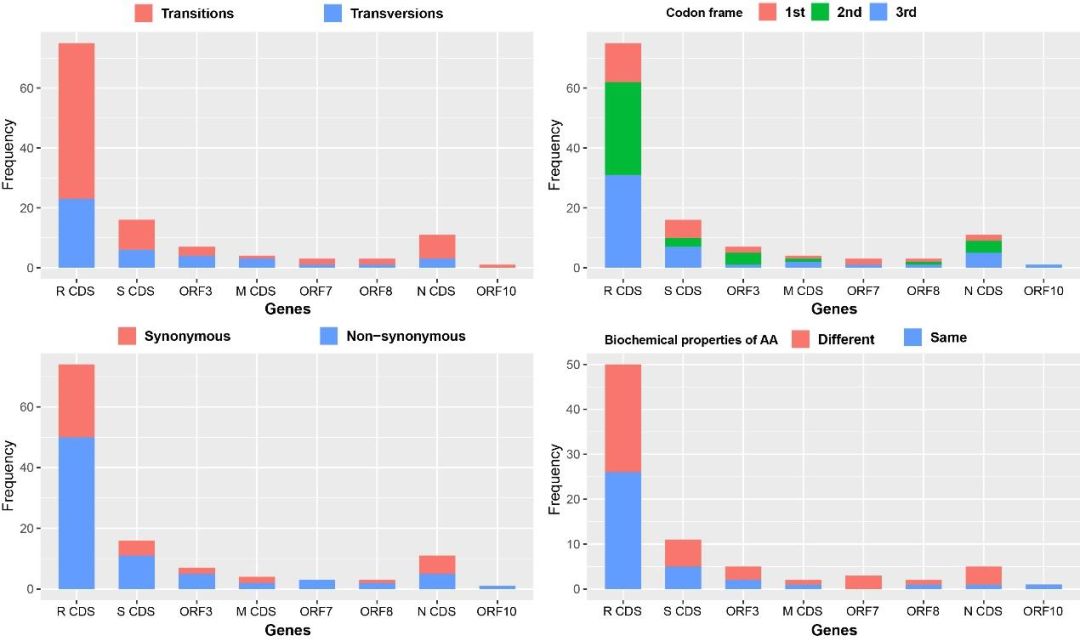
图3. 120个变异位点在8个编码区的分布情况。统计类型包括替换或替代(左上角),密码子位置1-3(右上角),同义突变或非同义突变(左下角),和氨基酸性质(右下角)。
在研究报告中也提到,由于华南海鲜市场在元旦期间关闭,没有提取该市场野生动物中的病毒样本,“鉴定SARS-CoV-2的中间动物媒介变得非常困难。在缺乏有关潜在中间宿主的信息的情况下,SARS-CoV-2的起源和传播模式仍未解决。”

 扩散病例至少来自3个途径 
将58种单倍型分成了五组后分析显示,广东的病毒可能有三个来源,重庆和台湾的病毒有两个来源。
在中国的54个样本中,重庆3个样本、广东18个样本、湖北22个样本、台湾2个样本、浙江4个样本,其他5个省份有1个样本。
武汉2019年12月24日至2020年1月5日的样本编码了13种单倍型,属于C类和B类。这些关系表明,新冠病毒在武汉的传播处于早期阶段。H1和H3是湖北以外地区单倍型的祖先。
从2020年1月10日至1月23日采集的18个广东样本,编码了15种单倍型,属于A、C、E组,表明有多个来源输入广东。三个单倍型(H14、H15、H17)可能在本地演化,表明新冠病毒最初蔓延到深圳时即发生了人际传播。来自台湾的两个样本编码H3和H24,分别属于B组和D组,重庆的三个样品编码H1、H40和H45,分别属于B组和C组,显示这两个省或地区输入了两种来源。C组4个浙江的4个样本编码H1、H24,属于C组,显示仅从H1单倍型来源输入。
中国境外总的样本编码了31种A-E组的单倍型。其中,2个来自泰国的样本是H1单倍型,分别来自澳大利亚和比利时的1个样本是H3单倍型,1个来自美国的样本是H19单倍型,1个来自新加坡的样本是H40单倍型。
来自亚洲5个国家的12个样本编码了10个单倍型,7个和武汉有关,3个和深圳有关。在日本东京,人际传播可能发生到H53单倍型患者到H52单倍型患者身上,患者此前从武汉撤回日本。
澳大利亚患者的5个样本分别编码B、C和D组的6个单倍型,均与武汉有关。病例(H3)、病例(H25、H26)、病例(H55,和H1有关)直接来自武汉,H25到H26发生了人际传播,来自昆士兰同一旅游团。H56患者与H27患者之间的联系不明确,因为H56患者于1月25日从武汉飞往悉尼,H27患者于1月15日从武汉飞往墨尔本。
一种可能是有一个中间传播者,他也传播了新冠病毒,并且传染给了法国、美国和中国台湾的其他病人。
8个欧洲样本编码了7个单倍型,来自四个国家的病人。比利时和德国的患者均有武汉旅行史。英国的患者没有报告与武汉有关,但有发现从H28到H29的家族性传播。法国的患者可能是通过三种不同的途径感染,即与武汉有关的H44、与重庆或新加坡有关的H43,以及与中间传播者有关的H30。
来自美国的13个样本中,有3个来自华盛顿的同一名患者,编码了相同的单倍型H38,另外3个样本编码了8个单倍型,覆盖了A-E 5组,因此输入性感染的来源很复杂。3个单倍型(H1、H19、H38)与武汉相关,3个(H19、H35、H42)与5个(H41、H58)可能与广东相关。其余的单倍型(H36、H37、H57)与非中国患者(H54,越南;H56,澳大利亚)有关,这两例患者来自武汉。
总体来看,广东深圳一家人在早期就通过人传人进行了传播。有较多样本的澳大利亚、法国、日本和美国,他们的患者感染源至少有两个,尤其是美国包括了五个来源。
非常值得关注的是H56这个超级传播者单倍型,它同时是澳大利亚、法国和美国,以及我国台湾患者的传染源。其他国家患者因为样品比较少,大多数的来源比较单一,他们除了是武汉旅游输入或在武汉感染外,有一些人可能是在广东、新加坡等地被感染。
研究还发现,中国和其他国家之间单倍型样本的多样性存在显著差异。其他国家样本的单倍型多样性较高,可能是因为其采样日期大多在2020年1月22日之后,而中国的样本则在2020年1月22日之前。此外,作者推测,国际长途航班时的低水平辐射暴露可能加速了新冠病毒的突变率。
研究团队最后强调,使用传统方法对新冠病毒进行流行病学研究是非常困难的,因为一些有轻微症状或无症状的感染者在11月底和12月初可能被忽视。此外,被认为是新冠病毒发源地的华南海鲜市场,自2020年1月1日起已关闭。
他们提到,由于目前可获得的样本不包括12月初发现的第一例感染患者和其他更多患者,因此可能会漏掉最常见的祖先单倍型。如果有来自这些患者的冷冻样本,就可以进行系统流行病学研究的基因组测序,以帮助确定新冠病毒的起源地地。
根据病患发病时间记录和种群扩张时间推断,也印证了早前《科学》(Science)杂志华南海鲜市场不是病毒发源地的推论。至于这位神秘的“零号病人”,可能是接触蝙蝠的人。从理论上而言是能够追溯的,即使零号病人已经去世,在某个医院应该还保留了他的血液样本。
重症死亡率超50%,无症状传染风险极大
 

新冠肺炎死亡率与治愈率
 
截止到2月23日14点,新型冠状病毒在全球已经造成2461人(含中国以外16人)死亡,现存重症患者10968例。新型冠状病毒感染重症病死率备受关注,《柳叶刀》(The Lancet)21日在线发表了由华中科技大学同济医学院协和医院、金银潭医院等重症医学团队发表的单中心、回顾性观察研究数据显示在ICU住院的SARS-CoV-2肺炎重症患者28天的死亡率超50%的死亡率。
 
Clinical course and outcomes of critically ill patients with SARS-CoV-2 pneumonia in Wuhan, China: a single-centered, retrospective, observational study,https://www.thelancet.com/lancet/article/S2213-2600(20)30079-5
 
该回顾研究涵盖52名重症成年患者,平均年龄为59.7岁,男性35例(67%),慢性病21例(40%),发烧51例(98%)。32名(61·5%)患者在28天时死亡,非幸存者从入院到重症监护病房(ICU)到死亡的中位时间为7天(IQR 3-11)。与幸存者相比,非幸存者年龄更大,更容易患急性呼吸窘迫综合症(ARDS),并且更有可能接受有创或无创机械通气。大多数患者的器官功能受损,包括35例(67%)的ARDS,15例(29%)的急性肾损伤,12例(23%)的心脏损伤,15例(29%)的肝功能障碍和1例(2%)气胸,37名(71%)患者需要机械通气。7名(13.5%)患者发生医院获得性感染。


SARS-CoV-2肺炎重症患者特征,https://doi.org/10.1016/S2213-2600(20)30079-5
 
文章指出,52例SARS-CoV-2肺炎重症患者队列中,28天内有32名(61.5%)重症患者死亡,而这一死亡率结果都要高于此前来自加拿大、新加坡、中国香港重症SARS患者的研究报道。来自加拿大13所医院的38名重症SARS患者队列中,13名(43%)患者在28天时死亡。而在新加坡队列和中国香港队列中,分别有45例重症SARS患者中的17例(38%)和54例重症SARS患者中的14例(26%)患者在28天时死亡。
 
除此之外,该SARS-CoV-2肺炎重症患者队列中,死亡率很可能也高于此前报道的MERS感染的重症患者死亡率。沙特阿拉伯此前研究报道12名MERS患者中,有7名(58%)患者在90天时死亡。
 
文章总结道,重症SARS-CoV-2肺炎患者的死亡率很高。非幸存者的生存期很可能在ICU入院后的1-2周内。合并症和ARDS的老年患者(> 65岁)死亡风险增加。SARS-CoV-2肺炎的严重程度给医院的重症监护资源造成了极大的压力,尤其是在医务人员短缺的情况下。
 
当前,疫情整体呈向好趋势发展,但近期多起聚集性疫情引发各界担忧,当前疫情依然相当严峻。高危地区地区诸如工厂、监狱等相对人员密集封闭空间聚集病例多起事件爆出,由此可见疫情防控恐存在漏洞。其中,昨天(2月21日),山东、浙江以及湖北三省共有5所监狱报告新型冠状病毒肺炎疫情。其中确诊病例512例,疑似病例10例,而山东省任城监狱尤为严重,截至2月20日24时,当地全面完成了对任城监狱相关人员的核酸检测,确诊病例207例。
 
与此同时,医院作为人员密集的场所,爆发聚集性疫情的风险也备受关注。首都医科大学附属复兴医院也发生聚集性病例事件,该医院已经被部分封闭。北京大学人民医院老年科和肾内科的住院患者也被确诊感染新冠病毒。
 
随着各地复工潮来临,多地开始撤除检疫点,多地很快出现包括攀钢集团重庆钛业有限公司等多家公司爆出出现聚集病例事件,全国各地爆发聚集性疫情的风险再度成为关注话题。所谓聚集性疫情,是指在一个潜伏期之内,一个比较小的封闭范围内(比如家庭、公司、学校、监狱等)发现多例确诊病例,且互相之间存在因密切接触或共同暴露而感染的可能性。
 
聚集性疫情一旦发生,周围的人会面临风险,社区防控也面临挑战。像上述的监狱、医院、养老院、工厂,包括日本横滨港的"钻石公主号"邮轮这种较小封闭空间的场所(截至2月21日上午,共检出634人感染病毒,阳性率约为20.7%;这些确诊者中有29人为重症,占全日本重症病例的大多数。)都属于这种聚集性疫情爆发地。
 
中央政治局2月21日召开政治局会议认为,目前疫情蔓延势头得到初步遏制,全国新增确诊和疑似病例总体呈下降趋势,但必须要清醒看到,“全国疫情发展拐点尚未到来”。
 

世界疫情地图,截止2月21日,WHO
 
世界卫生组织总干事谭德塞21日宣布,由世卫组织领导的联合专家小组将于22日前往武汉,继续在疫情中心开展工作。
 
谭德塞表示,中国和其他国家采取的措施给了世界遏制病毒传播的机会。世卫组织呼吁所有国家继续采取遏制措施,同时为社区传播做好准备。
 

谭德塞推特
 
他再次提醒人们:以后再回顾这段历史时,不应后悔没有利用现在拥有的机会之窗。他指出,尽管中国境外的病例总数仍然相对较少,但世卫组织关注的是没有明确流行病学联系的病例数量,例如到中国的旅行史或与确诊病例有过接触。
 
世界卫生组织21日表示,日本、韩国、伊朗疫情升级,韩国成为中国之外,除钻石公主号游轮外,成为新冠病毒感染病例最多的国家。
 

全球发现新冠肺炎地区与国家,截止2月22日,美国CDC
 
韩国继20日公布新增31例新冠肺炎病例,使确诊总数达82例后,出现超级传播事件,随即宣布,新冠疫情进入社区传播阶段。韩国中央应急处置本部副本部长金刚立22日上午在记者会上表示,政府决定继续将新型冠状病毒(COVID-19)的预警级别维持在第二高的“警惕”级别。据韩联社2月22日消息,截至22日下午5时,韩国感染新型冠状病毒(COVID-19)新增229例,累计确诊达到433例,其中2人死亡。
 
此外,韩联社报道,韩国也出现聚集病例事件,韩国DRAM 大厂SK海力士1名新进员工出现肺炎症状后送医检测,该公司除了封锁员工教育训练场所,还对800名员工进行居家隔离,以防止疫情扩散。
 

日本疫情地图(未包括钻石公主号),实时请参见:https://jagjapan.maps.arcgis.com/apps/opsdashboard/index.html#/55c22ee976bc42338cb454765a6edf6b
 
据日本共同社21日报道,符合下船标准的“钻石公主”号邮轮乘客已于当天下船完毕。截至发稿时,包括邮轮确诊患者在内,日本新冠肺炎确诊患者已突破750人(日本国内122例)。日本目前已成为继中国后新冠肺炎感染人数第二多的国家,而日本政府在应对疫情上也饱受质疑。
 

日本疫情分布,21日5时
 
伊朗星期五(21日)证实该国增加13起确诊病例,其中包括两起死亡病例。该国总确诊人数达18人,其中包括4例死亡。
 
COVID19 与 SARS, MERS, H1N1, EBOLA病例增长比较,来源:@CoronaVirus Updates
 
国际疫情显然也不容乐观,美国疾病控制与预防中心(CDC)指出,目前日本、韩国、新加坡等国都出现明显社区传播情形,但情况尚未达到发布旅游警示的标准。CDC称,社区传播意味着确诊病例中有感染源未知的患者。
 

伦敦帝国理工学院的MRC全球传染病分析中心原文报告地址:https://www.imperial.ac.uk/media/imperial-college/medicine/sph/ide/gida-fellowships/Imperial-College---COVID-19---Relative-Sensitivity-International-Cases.pdf
伦敦帝国理工学院的MRC全球传染病分析中心(MRC Centre for Global Infectious Disease Analysis)昨天(2月21日)发布最新数据模型分析报告估计认为,全球大约2/3从中国输出的感染病例仍未被疾控部门识别。按此模型推算,在中国以外的世界其它地方,目前已经有超过3000个病例存在。
 

各国家/地区检测到输入性新冠病例数与武汉天河国际机场的平均每月国际空中交通流量对比
 

按地区和国家划分的估计和观察到的新冠病例输入数量,对角线上方的值表示预期的病例要多于观察到的病例。
 
帝国理工报告称,目前中国大陆以外已有29个地区和国家出现确诊病例超过1000例。 尽管武汉市和中国其他城市的出行限制可能减少了往返中国的绝对旅客数量,但仍可以预期得到在全球范围内仍未发现从中国大陆输出的新冠肺炎病例中的三分之二,他们临床症状严重程度各不相同,从而使一些病例比其他人更难发现,这可能导致在中国大陆以外已发生人与人之间的传播。
哈佛大学流行病学家、华裔学者丁亮(Dr.Eric Feigl-Ding)对此在其推特表示,“这是一个严重的问题,我们现在需要更多的健康监视与检测,并且需要快速而准确进行。”
 

哈佛大学流行病学家、华裔学者丁亮(Dr.Eric Feigl-Ding)推特
 
越来越多的证据表明,发现无症状者的可能成为控制疫情的关键也是挑战。
  

Presumed Asymptomatic Carrier Transmission of COVID-19,doi:10.1001/jama.2020.2565
 
2月21日,美国著名医学期刊JAMA 在线发表了题为“Presumed Asymptomatic Carrier Transmission of COVID-19”的通讯文章,这是由河南省人民医院、安阳第五医院、天津医科大学、香港大学等联合研究团队共同完成的,研究纳入了安阳市第五人民医院当地入院的5例发烧和呼吸道症状的患者和1名无症状家庭成员。
 

暴露于导致家族聚集事件的新型冠状病毒无症状携带者的时间表及各患者实验室检测数据,doi:10.1001/jama.2020.2565
 
患者1(假定为无症状携带者)是一名20岁的女性,住在武汉,于2020年1月10日回到安阳。1月27日和31日的胸部CT影像未显示明显异常。她的C反应蛋白水平和淋巴细胞计数正常(详情见上图中表格)。RT-PCR测试结果在1月28日为阳性(蓝色)。
 
患者1的亲属2至6陆续患上了新冠肺炎(COVID-19),其中四人为女性,年龄在42-57岁之间,他们当中没有武汉旅行史或与其他去过武汉的人接触(患者1除外)。患者2至5在1月23日至1月26日之间出现发烧和呼吸道症状,并于当天入院。所有患者在1天内RT-PCR检测结果均显示COVID-19阳性。患者6在1月17日发烧并出现喉咙痛,并去当地诊所进行治疗。她的症状在接下来的几天中有所改善,但在1月24日入院并于1月26日确认患有新冠肺炎时病情加重。两名患者出现了严重的肺炎。其他感染为中度。所有有症状的患者在胸部CT上均出现肺部磨玻璃影(ground-glass opacity, GGO),其中1例出现亚段实变和纤维化改变。所有有症状患者的C反应蛋白水平升高,淋巴细胞计数降低(见上表)。
 
文章认为,该起家族集群新冠肺炎事件表明冠状病毒可能是由无症状携带者传播的。这些安阳发现的患者在症状发作之前与从武汉市归来的无症状家庭成员进行了接触。患者1的潜伏期长达为19天,虽很长,但还在此前报道的24天以内(最近官方有报道称湖北神农架发现一70岁患者潜伏期长达27天)。
 
文章讨论中强调,如果重复发生该报告中假定无症状携带者传播现象,则预防新冠肺炎病毒感染将具有挑战性。无症状携带者获得传播能力并进行传播新冠病毒的的机制需要进一步研究。
 
需要注意的是,此前我国、德国研究人员已在《新英格兰医学》、《柳叶刀》等发表多项研究认为无症状病毒携带者存在传播潜力,我国第五版新型肺炎诊疗方案也已指出,无症状感染者也可能成为传染源。
尾 语
武汉地区的爆发与高死亡率与武汉当局处理不当导致大量病患积压,地方公共医疗卫生系统瘫痪所致。在人均医疗条件恶劣的情况下治愈率仅为27.5%。
目前在中国,复工返岗和战疫防疫逐渐成为了一场旷日持久的拉锯战。昨天当当又传出复工员工感染病例。不过,考虑到当前冠状病毒传播链还算可见-即主要是接触式感染,做好防护和尽可能不直面接触,非服务业复工仍然是可行的。目前各省市湖北系人员基本都被管控,二代、三代感染者也逐步管控。如果继续大范围停工,在未来,更多的企业将会面临倒闭,更多人将吃不上饭,那样局的面可能会比疫情更为棘手。
如果我们找不到病毒的起源,它仍然可能在某些地区再次暴发,并且持续肆虐。不过,随着对病毒深入的研究,最初的传染源和零号病人之间的传播链也将日渐清晰。虽然我们做了很多努力,也取得了较好的成绩,但是我们仍然不能掉以轻心。当下,新型冠状病毒在全球范围内的传播仍处于缓慢上升阶段,这表明加强无症状患者的发现与隔离的策略将成为控制疫情的关键要素之一。


Science科学 
了解未知 开启认知

按此关注中文公众号
Science科学英语平台 
THE SCIENCE OF EVERYTHING

按此关注英文公众号

◢ 豁然开朗请打赏 ◣

分享“票圈”,给予支持!点亮“在看”,助力传播!
到顶部