继续操作前请注册或者登录。

【新冠病毒】突变研究:新冠病毒能找到感染细胞的替代途径;研究表明接种mRNA疫苗后的新冠感染很罕见且轻微




COVID-19突变研究:SARS-CoV-2病毒能找到感染细胞的替代途径
研究发现宠物狗和猫很容易从主人那里感染COVID-19
Google正在Android系统中建立对数字COVID疫苗卡的支持
数字COVID证书:欧盟范围内的旅行通行证于今日正式生效
科学家找到应对COVID-19疫苗引发血栓的新治疗方法
研究表明接种mRNA疫苗后的COVID-19感染很罕见且轻微

关注视频号,发现更多精彩
01
COVID-19突变研究:SARS-CoV-2病毒能找到感染细胞的替代途径
在COVID-19大流行的早期,科学家们确定了导致COVID-19的病毒SARS-CoV-2是如何进入细胞内造成感染的。目前所有的COVID-19疫苗和基于抗体的治疗方法都被设计为破坏这一进入细胞的途径,这需要一种叫做ACE2的受体。现在,华盛顿大学医学院的研究人员发现,一个单一的突变使SARS-CoV-2有能力通过另一种途径进入细胞--一种不需要ACE2的途径。
使用另一种进入途径的能力开启了“逃避”COVID-19抗体或疫苗的可能性,但研究人员并没有发现这种“逃避”的证据。然而,这一发现确实表明,该病毒可以以意想不到的方式改变,并找到新的方式来引起感染。这项研究于6月23日发表在《细胞报告》上。

共同第一作者、分子微生物学副教授Sebla Kutluay博士说:“这种突变发生在病毒在人类群体中循环时变化很大的一个点。大多数时候,替代性受体和附着因子只是增强ACE2依赖性的进入。但在这种情况下,我们发现了一种感染关键细胞类型--人类肺部细胞--的替代方式,而且病毒是通过我们知道在人群中出现的一种突变获得这种能力。这是我们肯定需要了解更多的东西。”
这一发现是偶然的。去年,Kutluay和共同第一作者M. Ben Major博士,即Alan A. and Edith L. Wolff细胞生物学和生理学杰出教授,计划研究感染SARS-CoV-2的细胞内发生的分子变化。大多数研究人员在灵长类动物的肾细胞中研究SARS-CoV-2,因为病毒在这些细胞中生长良好,但Kutluay和Major认为在肺部或其他类似于自然感染的细胞中进行研究很重要。为了找到能够生长SARS-CoV-2的更多相关细胞,Kutluay和Major筛选了10个肺部和头颈部的细胞系。

“唯一能够被感染的是作为阴性对照的那个,”Major说。“那是一个人类肺癌细胞系,没有检测到ACE2。所以那是一个疯狂的惊喜。”
Kutluay、Major及其同事--包括共同第一作者和博士后研究员Maritza Puray-Chavez博士和Kyle LaPak博士,以及共同作者Dennis Goldfarb博士(细胞生物学和生理学及医学副教授)和Steven L. Brody博士(医学中的Dorothy R. and Hubert C. Moog肺部疾病教授和放射学教授)--发现他们用于实验的病毒已经发生了突变。这种病毒最初是从华盛顿州的一名COVID-19患者那里获得的,但是随着它在实验室中的长期生长,它获得了一种突变,导致病毒的刺突糖蛋白中第484位的一个氨基酸发生变化。SARS-CoV-2利用刺突糖蛋白附着在ACE2上,而第484位是一个突变的热点。在人和小鼠的病毒变体中,以及在实验室培养的病毒中,已经发现了同一位置的各种突变。从人身上提取的病毒样本中发现的一些突变与Kutluay和Major在其变体中发现的突变相同。人们关注的Alpha和Beta变体在484位置有突变,尽管这些突变是不同的。

Major说:“这个位置在人类群体中和实验室中随着时间的推移不断演变。鉴于我们的数据和其他人的数据,病毒有可能是在选择压力下进入细胞而不使用ACE2。在许多方面,想到全世界的人口都在与一种正在使其感染细胞的机制多样化的病毒作斗争,这是很可怕的。”
为了确定使用替代性进入途径的能力是否允许病毒逃避COVID-19抗体或疫苗,研究人员用来自接种过COVID-19疫苗或从COVID-19感染中恢复的人的抗体筛选了抗体小组和血清。他们发现存在一些差异,但总的来说,这些抗体和血清对带有突变的病毒有效。
目前尚不清楚的是,当人们感染SARS-CoV-2时,替代途径是否会在现实世界中发挥作用。在研究人员能够开始解决这个问题之前,他们必须找到病毒用来进入细胞的替代受体。
Kutluay说:“病毒有可能使用ACE2,直到它用完了有ACE2的细胞,然后它就转而使用这种替代途径。这可能在体内有相关性,但在不知道受体的情况下,我们不能说相关性会是什么。”
Major补充说:“这就是我们现在要去的地方。受体是什么?如果它不是ACE2,那它是什么?”
https://www.cell.com/cell-reports/pdf/S2211-1247(21)00762-2.pdf?_returnURL=https%3A%2F%2Flinkinghub.elsevier.com%2Fretrieve%2Fpii%2FS2211124721007622%3Fshowall%3Dtrue
02
研究发现宠物狗和猫很容易从主人那里感染COVID-19
虽然宠物狗主人将COVID-19传给他们的狗或猫的案例此前已有记录,但对于公共卫生的风来说,这微不足道。然而由于接种疫苗和其他措施减少了病毒的人传人,我们越来越有必要了解动物感染造成的潜在风险。

为了了解更多信息,荷兰乌得勒支大学的Els Broens博士及其同事对COVID-19检测呈阳性的人的狗和猫进行了研究。据悉,一个流动兽医诊所访问了过去2至200天检测呈阳性的主人的家并从他们的猫和狗身上提取了口咽和直肠拭子和血液样本。
拭子被用于PCR检测以提供当前感染的证据,血液样本则被用于抗体检测以提供过去感染的证据。
据了解,共有196个家庭的156只狗和154只猫接受了测试。其中,6只猫和7只狗(4.2%)的PCR测试呈阳性,31只猫和23只狗(17.4%)的抗体测试呈阳性。
13名宠物主人的PCR检测呈阳性,其中11人同意在第一次检测后三周接受第二次检测。所有11只动物的抗体检测均呈阳性,证实它们感染了COVID-19。三只猫的PCR检测仍呈阳性并进行了第三次检测。最终,所有PCR阳性的动物清除了感染并转为PCR阴性。
在第二阶段,研究人员对跟PCR阳性宠物生活在同一家的8只猫和狗进行了再次测试以检查宠物之间的病毒传播。没有一只检测呈阳性,这表明病毒没有在彼此密切接触的宠物之间传播。
196个家庭中有40个(20.4%)的宠物有该病毒抗体,研究显示,COVID-19在曾患该疾病的人的宠物中高度流行。
研究人员表示,由于其他研究显示,跟病毒接触过的宠物的COVID-19发病率高于未接触过的宠物,因此最可能的传播途径是人传给宠物,而不是人传给宠物。
Broens博士补充道:“如果你感染了COVID-19,你应该避免接触你的猫或狗,就像你对其他人做的那样。然而,主要的担忧不是动物的健康--它们没有或只有轻微的COVID-19症状--而是宠物可能成为病毒的宿主并重新将其引入人类的潜在风险。幸运的是,到目前为止还没有宠物传染给人的报告。因此,尽管在这项研究中,COVID-19阳性家庭的宠物患病率相当高,但宠物似乎不太可能在疫情中发挥作用。”
03
Google正在Android系统中建立对数字COVID疫苗卡的支持
Google正在开放Android的内置通行证系统,让Android用户在他们的手机上存储一个数字疫苗卡,它称之为COVID卡。该功能最初将在美国推出,它将依靠医疗机构、地方政府或其他授权分发COVID疫苗的组织的支持。该功能还将支持存储COVID测试结果。

根据Google的支持页面,对于疫苗接种,用户的COVID卡将显示他们何时接种以及接种了哪种疫苗的信息。该卡可以从医疗服务提供者的应用程序或网站以及发给用户的短信或电子邮件中保存。
Google建议用户在主屏幕上为该卡添加一个快捷方式,并在你将卡保存到设备上时提供这个选项。Google表示,该卡不会被保存在云端,也不会将用户提供的信息用于广告目的,但该公司确实表示,它将收集一些信息,比如用户在哪天使用了多少次卡。而且用户不需要下载Google支付应用来保存和访问卡片。
在美国,纽约州和加利福尼亚州等一些州已经实施了他们自己的数字疫苗卡,但Google的版本可以简化其他当局的程序。
04
研究发现宠物狗和猫很容易从主人那里感染COVID-19
新的欧盟范围内的旅行通行证于周四(7月1日)正式生效,旨在在新冠大流行期间促进整个欧盟的流动。其目的是通过减少文书工作和取消隔离,使人们能够更自由地在各成员国工作和旅行。

但是,这一举措是在Delta新冠变体传播的“阴云下”进行的,欧盟国家在旅行政策上仍然存在分歧,正在执行各自的政策。航空公司已经警告说,除非有更好的协调,否则夏天机场会出现混乱。
该文件--以数字或纸质形式提供--将包括有关疫苗接种、测试和疾病康复的信息。如果欧盟公民至少具备这三个要素中的一个,他们将能够获得通行证。PCR测试和抗原测试都将被接受。
这一旅行证的正式名称为 “欧盟数字COVID证书(EUDCC)”,其是免费的,应该被所有27个欧盟国家以及瑞士、列支敦士登、冰岛和挪威承认。

欧盟正在与其他几个国家,如英国和美国,就COVID相关文件的相互承认和运作进行谈判。根据欧盟委员会的说法,所有成员国都应该在周四准备好发放和接受通行证--除了爱尔兰,因为网络攻击,它可能会推迟这样做。
截至当地时间周三晚上,21个欧盟国家已经连接到该系统的网络,其他六个国家在技术上已经准备就绪。一些国家已经在6月开始使用新的健康证书。
该通行证适用于三种情况:证明一个人是否接种过COVID-19疫苗,是否在最近进行过阴性测试,或者是否被认为在以前感染过该疾病后具有免疫力,此外将需要提供PCR测试阳性的证明。
预计将有一个逐步实施的时期,对于在7月1日没有准备好的国家,宽限期将持续到8月12日。在此期间,其他国家应接受国家文件,条件是它们包含欧洲层面所要求的数据。欧盟各国有义务接受由欧洲药品管理局(EMA)批准的疫苗:辉瑞/BioNTech、Moderna、阿斯利康和强生疫苗。
尽管这不是强制性的,他们也可以接种一些欧盟国家授权的疫苗,如匈牙利批准使用的俄罗斯Sputnik V疫苗;或世界卫生组织(WHO)批准的产品,如中国国药集团的新冠疫苗。
05
科学家找到应对COVID-19疫苗引发血栓的新治疗方法
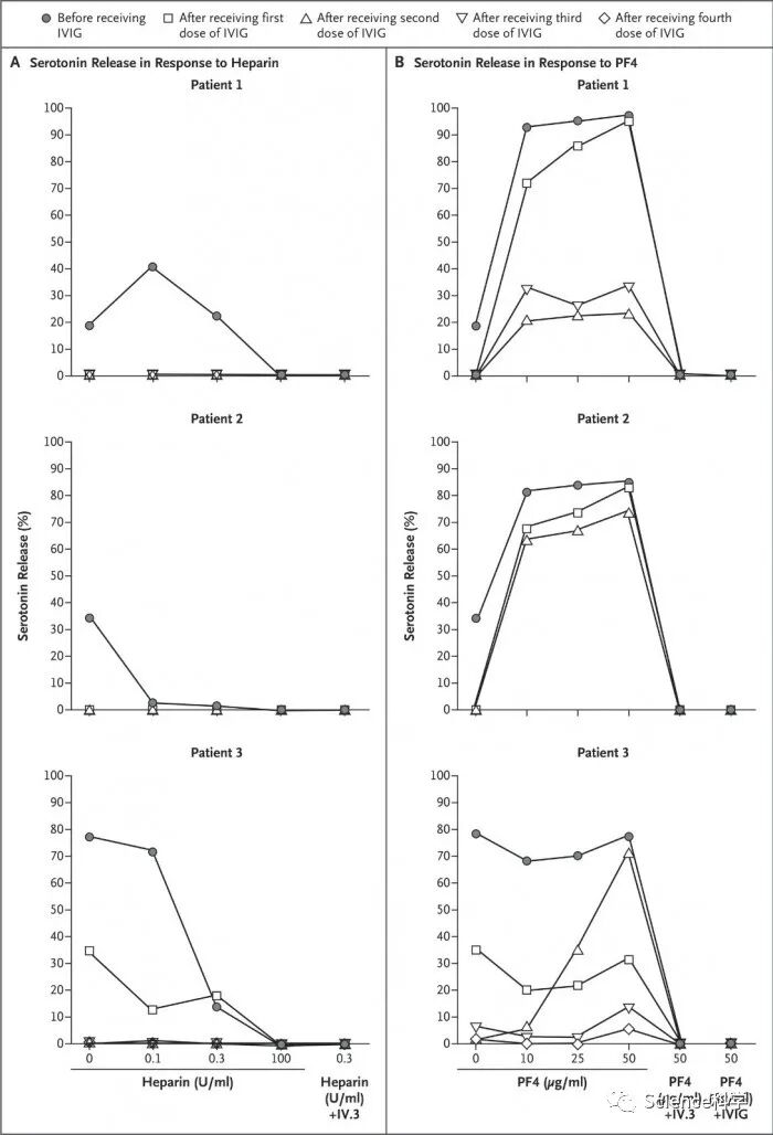
麦克马斯特大学的一支科学家团队,已经证明了一种挽救生命的新方法,或可用于治疗与疫苗相关的血栓。据悉,该校血小板免疫学实验室(MPIL)的研究人员,推荐了将抗凝血药物和高剂量静脉注射免疫球蛋白相结合的治疗方法,以应对疫苗引发的免疫血栓性血小板减少症(VITT)。

科学家现已了解导致血小板活化和凝血的机制(图自:McMaster University)
在发表于《新英格兰医学杂志》上的这份研究报告中,研究团队描述了三名接种阿斯利康疫苗的加拿大 VITT 患者。其中俩人腿部都出现了凝血,另一人则是脑部出现了动静脉血栓。
实验室科学主任兼医学副教授 Ishac Nazy 表示,他们会向 VITT 患者介绍一种已经测试通过的诊疗犯法,并且确切地知晓了它是如何起作用的。
相关工作旨在了解这种疾病的机理,以便医护改进患者的诊断和管理。这项研究结合了成功的实验室诊断和患者护理,是一套切实的转化医学方法。无论是在工作台、还是临床方面,这都是他们的强项。

研究配图 - 1:三名 VITT 患者的临床与实验室数据
据悉,当抗体攻击被称作血小板因子 4(PF4)的血液蛋白质时,就会发生免疫血栓性血小板减少症(VITT)。这会导致血液中的血小板活化,导致它们聚集在一起并形成凝块。
经过妥善的治疗,从患者身上采集的血液样本,在所有情况下都显示了抗体介导的血小板活化减少。尽管参与研究的患者年龄较大,但也有许多影响年轻人的病例。
不过 Ishac Nazy 与其 MPIL 同事指出,无论年龄大小,VITT 都是一种相当罕见的疾病。

研究图表 - 1:经用 IVIG 处理前后的 ELISA 反应性
该实验室的科学家,包括了医学教授 Donald Arnold、John Kelton、以及病理学和分子医学教授 Ted Warkentin 。
在此前肝素诱导血小板减少症(HIT)研究的基础上,他们共同设计了一种有效的 VITT 测试与治疗方法。
虽然两种情况相似,但使用标准 HIT 抗体试剂来检测 VITT 的话,可能会产生假阴性结果。

研究图表 - 2:血小板活化测定结果
基于此,科学家们修改了 HIT 测试方案,以检测接种了 COVID-19 疫苗的患者体内发现的 VITT 特异性抗体,尽管这种抗体本身就很少见。
随后对患者血液样本的实验室检测表明,高剂量的免疫球蛋白与血液稀释剂药物相结合,是如何阻止血小板活化并阻止凝块形成的。
感兴趣的朋友,可移步至《新英格兰医学杂志》(The New England Journal of Medicine)查看全文。
原标题为《Adjunct Immune Globulin for Vaccine-Induced Thrombotic Thrombocytopenia》。
https://www.nejm.org/doi/full/10.1056/NEJMoa2107051
06
研究表明接种mRNA疫苗后的COVID-19感染很罕见且轻微
近日发表于《新英格兰医学杂志》上的一项研究指出:尽管某些人在接种疫苗后依然感染了 COVID-19,但他们通常会在较短的时间内经历较轻的症状,且病毒载量也较低。早些时候,BBC 记者 Andrew Marr 也发表了一篇专栏文章,讲述了自己的 COVID-19 经历。原本他以为自己在接种疫苗后就无懈可击,但后续还是不慎感染。

研究表格 - 1:基于检测结果 / 疫苗接种情况的参与者特征
庆幸的是,故事并没有以严重到需要接受住院治疗而收尾。因为在经历了几天类似流感的发烧和疼痛之后,Andrew Marr 还是很快就缓了过来。
作为“高危感染人群”的代表之一,现年 61 岁的 Andrew Marr 在接种了 COVID-19 疫苗之后,只用了不到两周的时间就完全恢复。在隔离期结束时,整个人的身体状态都感觉良好。
而由疾控中心(CDC)资助的这项新研究,主要评估了辉瑞(Pfizer)和莫德纳(Moderna)的两款 mRNA 疫苗。
在对数千名一线工作人员进行了追踪之后,研究团队仔细汇总了接种 / 未接种参与者的新冠病毒感染和再感染状况,且参与者每周都会接受基于鼻拭子的 PCR 检测。

研究表格 - 2:部分 / 完成 mRNA 疫苗接种的参与者的 SARS-CoV-2 防御效果
然后截止 2021 年 4 月中旬, 3975 人中记录了 204 例 SARS-CoV-2 感染,但其中只有  5 例发生在已完成疫苗接种的人身上。
相比之下,在部分接种了疫苗的参与者中(第一剂过后 ≥ 14 天 / 第二剂过后 < 14 天),有 11 人被检出了感染。
这意味着,完成了疫苗接种的人们,其抵抗各种 SARS-CoV-2 感染(无论有无症状)的有效率高达 91% 。
这样的结果,与去年 3 期试验报告的疗效数据、以及早期的现实世界数据相匹配。

Jeff Burgess(图自:University of Arizona Health Sciences)
首席研究员 Jeff Burgess 表示:“疫苗的有效性仍相当之高,我们对这样的结果感到很是振奋”。
更重要的是,我们加入了许多衡量已接种 / 未接种疫苗参与者的感染严重程度的新指标,并测量了病毒载量与症状持续时间。
这些新措施提供了宝贵的见解,让我们了解疫苗接种如何有效地降低 COVID-19 对这 9% 受试者的最终感染力。
与未接种疫苗的对照组相比,部分 / 完全接种疫苗的参与者,其汇报的总体病假天数更少、病程也明显更短。
大多数未接种疫苗的感染者,可能需要经历至少两周的时间。而大多数接种了疫苗的参与者,最长也只需一周即可恢复良好。

研究表格 - 3:实验组 / 对照组的病毒 RNA 载量 / 发热症状 / 持续时间与频率
研究人员总结道:“与未接种疫苗的参与者相比,部分或完全接种疫苗的参与者们出现发热症状的风险降低了 58%”。
除了病程更短(有症状天数少了 6 天左右、卧床时间也少了 2 天),即使在感染高峰期,实验组的病毒载量也较对照组低了 40% 。
可以说,只要你接种了疫苗,那你有九成时间都不会感染 COVID-19 。即便被感染,体内的病毒载量也会极大减少,意味病情也要轻得多。
感兴趣的朋友,可移步至《新英格兰医学杂志》(The New England Journal of Medicine)查看全文。
原标题为《Prevention and Attenuation of Covid-19 with the BNT162b2 and mRNA-1273 Vaccines》。
https://www.nejm.org/doi/10.1056/NEJMoa2107058


Science视频号 

按此关注微信视频号
Science科学 
了解未知 开启认知

按此关注中文公众号
Science科学英语平台 
THE SCIENCE OF EVERYTHING

按此关注英文公众号
TechEdge 
科技 点亮未来

按此关注中文公众号

◢ 豁然开朗请打赏 ◣

分享“票圈”,逢考必过,点亮“在看”SCI录用率提高18%
到顶部