继续操作前请注册或者登录。

「小麦」在烘焙的华丽变身不仅是面粉,八一八麦芽糖 & 麦芽精



在烘焙业内,麦芽精是常见的东西,但对于很多家庭烘焙爱好者来说,不清楚麦芽精和麦芽糖区别,对于麦芽精的使用也不了解。

首先了解清楚几个相似的名词,以及它们对应的生产过程: 


麦芽

麦芽就是麦子发芽,在麦子中加入充足的水分使其发芽。麦子经浸泡在15-20℃的环境中约10天左右,就能发芽。

麦芽糖

麦芽糖是麦芽提取物,麦芽糖是用糯米、玉米等淀粉类经蒸煮,再将麦粒磨碎,麦芽里面的酵素发酵水解提炼而成,有增加甜味的作用。


麦芽粉

麦子发芽状态无法稳定地进行制作,因此为避免酵素失去活性,以40-90℃的热风使其干燥成水份2-7%的程度。并且除去不用的麦芽,再碾磨成细粉。这个阶段制作出的就是“麦芽粉”。如此完成的麦芽粉,因为未经过糖化,所以几乎感觉不到甜味。

麦芽精

磨碎的麦芽被投入焦糖槽,加水混合后,在槽内保持50-65℃,约7-15小时慢慢糖化。也就是在发芽过程中,活性化的酵素将淀粉分解成麦芽糖和糊精。这个糖化作业后经过滤,将水份浓缩成20-23%的成品,就是浓缩的“麦芽精”了。

麦芽制品种类繁多,从啤酒饮料以至调味料,使用范围很广。
常用于面包制作的是麦芽糖浆状的“麦芽精”和粉末状的“麦芽粉”。
麦芽糖浆有麦芽糖和麦芽精
比较市售各公司的麦芽糖浆,注意观察色调都是不同的。从比较淡的黄色到黑褐色各式各样的都有,色调不同是源自于原料以及制作工程的差异、浓缩作业中温度高低也有影响。
选择麦芽糖浆时,最重要的不是色调而是所含的酵素力的不同。
酵素力是以Lintner 值为单位来表示,数值越小发酵力也就越弱,数值越大发酵力也越强。例如euromalt品牌的lintner值是49,日本产的同种类型麦芽糖浆的lintner 值只有20。

麦芽精在面包中作用
1
有助于酵母的活性发酵
麦芽精中所含的糖类大部分都是酵母可以直接利用于发酵的麦芽糖。再加上麦芽精所含的α-淀粉酶活性会分解面团中的淀粉,故能持续供给糖类。所以借此促进发酵的同时,还能提高发酵的持续性。
2
使面团具有机械耐性
麦芽精所含的酵素,能使面团光滑并提升延展性。借此以减少搅拌以及切割时对面团所造成的损伤。
3
面团的延展效果良好
促进发酵,增加面团中气体量,优化面包在烤箱内的延展以及内相。
4
延缓面包的老化
酵素而生成高保水力的糊精,烘烤完成后也能延缓面包的老化。
5
增添面包的烤色以及香气
利用酵素生成的糖类和各种成份,使得烘焙完成时能有独特的香气。麦芽精中含有糖份在烘烤的时候会产生美拉德反应,能够帮助面包上色。

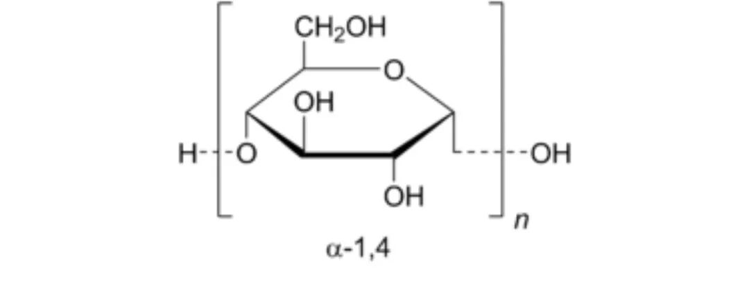
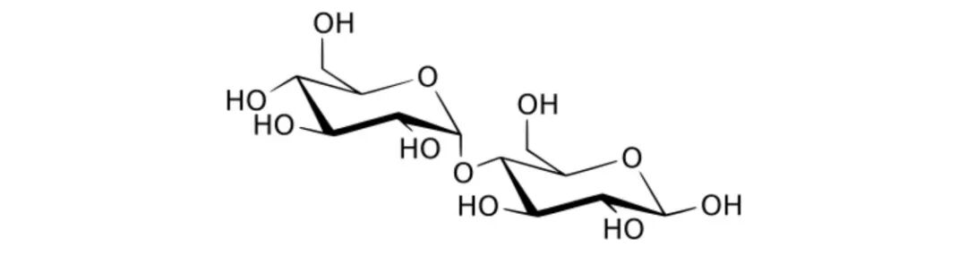
麦芽精和麦芽糖的区别
麦芽精与麦芽糖在结构上也是不同的。
麦芽精

麦芽精是多糖,制作是由大麦发芽时因活性化的α-淀粉酶产生的副产品麦芽糖,再熬煮成浓稠状态的糖浆。除了大部分的麦芽糖和水分,同时它也具有淀粉分解酵素α-淀粉酶。
添加麦芽精的主要目的是风味的变化与尽早达到发酵阶段,经常使用于法式面包或者硬质面包中;日常的甜面包一般不需要使用到麦芽精,因为本身甜面包的白砂糖已经有足够的糖份。

麦芽糖

麦芽糖是淀粉酶分解淀粉产生的双糖,白色针状统晶。
没有麦芽精的解决办法
若没有麦芽精就可以忽略不加入。因为麦芽精的作用主要在于:尽早达到发酵状态、辅助发酵、风味的变化及上色,除了发酵外,其余不过是锦上添花的作用。
加入麦芽精仅是为了防止面粉和酵母中的分解酵素不足,为小麦淀粉分解再加一把力。
若没有麦芽精,可选择:多加酵母或者延长发酵时间(以面团状态衡定);同时要记得把酵母事先在温水中溶解,活跃酵母活性。
要是追求更完美的味道与精进的技术,建议配方中需要的时候还是把麦芽精添加上,大师和普通职人的作品差别往往都是在这些看似细小的食材要求上。

麦芽精的使用方法
1
添加分量
麦芽精的使用分量占配方粉量的0.3%~0.5%。若过度使用的话,面团相应会变粘稠,对后期整形会造成一定的影响,所以一定要注意使用的量。
2
使用方法
直接拌入法
直接把麦芽精放入面粉中,搅拌均匀融入即可。
水溶法
把麦芽精先放在少许的配方水中进行搅拌直到融化,然后再拌入面粉混合,再倒入剩余配方水。
两种方法都可用,可以自行选择。很多日本师傅偏向于第二种水溶法,能够让麦芽精和水充分溶解再搅拌。
专业知识类的文章,个人知识面的局限写的也可能会有不对的地方,也欢迎大师们留言指正交流,共同梳理出更专业、准确的烘焙理论。




更多视频精彩,关注视频号





戳“阅读原文”咨询学烘焙
喜欢就一键三连分享&赞&在看

到顶部