Circulation Research:“伟哥”有助于预防痴呆症



具体答疑展示请点击查看:论文统计指导服务,真免费,永久免费,超靠谱,快来加入吧
       脑小血管疾病引起的血管认知功能障碍与脑搏动、白质灌注不足和脑血管反应性(CVR)降低有关,并可通过西洛他唑等靶向内皮药物得到改善。西地那非(俗称伟哥),是美国FDA批准的治疗勃起功能障碍和肺动脉高压的药物,这种药物在全世界范围已被广泛使用,但西地那非是否能改善脑血管功能障碍尚不清楚。
      牛津大学约翰·拉德克利夫医院的研究人员在 Circulation Research 期刊发表了题为:Cerebrovascular Effects of Sildenafil in Small Vessel Disease: The OxHARP Trial 的研究论文。证实了了西地那非能够改善大脑血流量并有预防痴呆症潜力。

      该研究采用双盲、随机、安慰剂对照交叉临床试验建立了一个生理模式测试西地那非对脑动脉脉动和CVR患者症状轻度至中度小血管疾病相比于与安慰剂和西洛他唑的优越性。该试验共有75名参与者,这些参与者曾经经历过轻微中风,并表现出轻度至中度的小血管疾病的迹象。每个受试者在三周的时间内随机接受西地那非、安慰剂和西洛他唑(一种抗血小板聚集和血管扩张的药物),研究团队采用心血管生理学测试、超声和功能性磁共振扫描来评估药物治疗效果,并评估了相关药物的副作用。
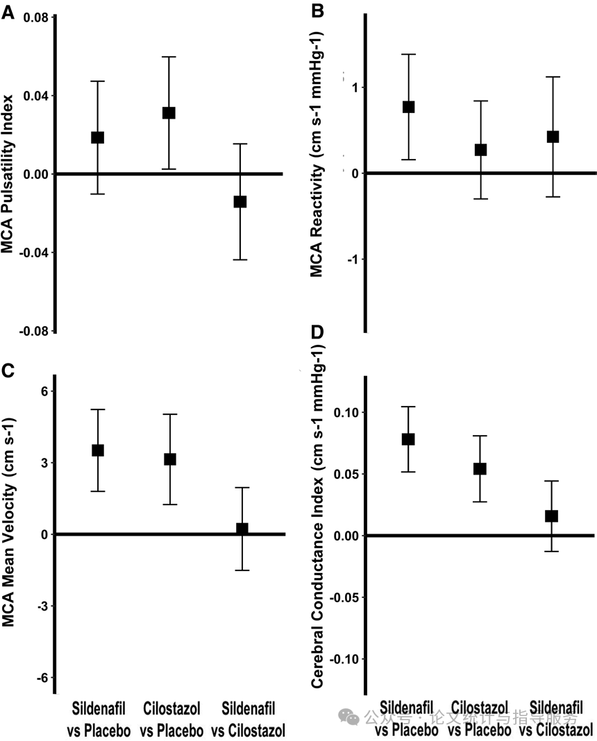
      结果提示:根据经颅超声扫描结果提示,西地那非可增加大脑大血管和小血管的血流量;MRI成像研究也提示,与安慰剂相比,西地那非可持续改善血流动力学功能,CVR的幅度和反应速度得到改善,脑灌注增加。同时通过减少不依赖于内皮细胞外pH,西地那非增加了脑血管对二氧化碳反应的增益和速度;大脑血管疾病引起的血管认知障碍与大脑搏动、白质灌注不足和大脑血管反应性(CVR)降低有关,西地那非可改善cSVD患者的脑血流和内皮功能,改善血液流动和大脑血管的反应。从而对血管性痴呆高风险患者的临床结局有益。
 

表1:西地那非、西洛他唑和安慰剂对大脑中动脉(MCA)血流、搏动性和经颅超声反应性的差异。

表2:西地那非和安慰剂在脑血管反应性(CVR)和脑磁共振成像(MRI)上的脑血流方面的差异。
      与西地那非相比,西洛他唑腹泻并发症的发生率较高。与安慰剂相比,西地那非与头痛发生率的增加相关,但这些头痛大多是轻微的。西洛他唑的头痛比安慰剂更常见,西洛他唑头痛比西地那非更常见。尽管两种药物总体耐受性良好,但有更多的参与者因西洛他唑的副作用而停止用药。

表3:每种药物的副作用报告


到顶部